相关习题
 0  84933  84941  84947  84951  84957  84959  84963  84969  84971  84977  84983  84987  84989  84993  84999  85001  85007  85011  85013  85017  85019  85023  85025  85027  85028  85029  85031  85032  85033  85035  85037  85041  85043  85047  85049  85053  85059  85061  85067  85071  85073  85077  85083  85089  85091  85097  85101  85103  85109  85113  85119  85127  266669 

科目: 来源:2012-2013学年安徽省池州一中高一(上)期中数学试卷(解析版) 题型:填空题

某市出租车规定3公里内起步价8元(即不超过3公里,一律收费8元),若超过3公里,除起步价外,超过部分再按1.5元/公里收费计价,若乘客与司机约定按四舍五入以元计费不找零,下车后乘客付了16元,则乘车里程的范围是   

查看答案和解析>>

科目: 来源:2012-2013学年安徽省池州一中高一(上)期中数学试卷(解析版) 题型:解答题

已知集合A={x|3≤x<7},B={x|4<x<10},C={x|x<a}.
(1)求A∪B;(CRA)∩(CRB);     
(2)若C∩B⊆A,求a的取值范围.

查看答案和解析>>

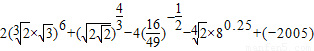
科目: 来源:2012-2013学年安徽省池州一中高一(上)期中数学试卷(解析版) 题型:解答题

化简或求值:
(1)
(2)

查看答案和解析>>

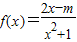
科目: 来源:2012-2013学年安徽省池州一中高一(上)期中数学试卷(解析版) 题型:解答题

已知函数=f(2x
(1)用定义证明函数g(x)在(-∞,0)上为减函数.
(2)求g(x)在(-∞,-1]上的最小值.

查看答案和解析>>

科目: 来源:2012-2013学年安徽省池州一中高一(上)期中数学试卷(解析版) 题型:解答题

已知A、B两地相距150千米,某人开车以60千米/小时的速度从A地到B地,在B地停留一小时后,再以50千米/小时的速度返回A地.把汽车与A地的距离y(千米)表示为时间t(小时)的函数(从A地出发时开始),并画出函数图象.

查看答案和解析>>

科目: 来源:2012-2013学年安徽省池州一中高一(上)期中数学试卷(解析版) 题型:解答题

函数f(x)是幂函数,图象过(2,8),定义在实数R上的函数y=F(x)是奇函数,当x>0时,F(x)=f(x)+1,求F(x)在R上的表达式;并画出图象.

查看答案和解析>>

科目: 来源:2012-2013学年安徽省池州一中高一(上)期中数学试卷(解析版) 题型:解答题

设关于x的方程x2-mx-1=0有两个实根α,β,且α<β.定义函数
(1)当α=-1,β=1时,判断f(x)在R上的单调性,并加以证明;
(2)求αf(α)+βf(β)的值.

查看答案和解析>>

科目: 来源:2012-2013学年北京市海淀区北师特学校高三(上)第四次月考数学试卷(文科)(解析版) 题型:选择题

计算等于( )
A.
B.
C.
D.

查看答案和解析>>

科目: 来源:2012-2013学年北京市海淀区北师特学校高三(上)第四次月考数学试卷(文科)(解析版) 题型:选择题

下列函数中,是奇函数且在区间(0,1)内单调递减的函数是( )
A.
B.
C.y=x3
D.y=tan

查看答案和解析>>

科目: 来源:2012-2013学年北京市海淀区北师特学校高三(上)第四次月考数学试卷(文科)(解析版) 题型:选择题

已知命题p:?x≥0,2x=3,则( )
A.¬p:?x<0,2x≠3
B.¬p:?x≥0,2x≠3
C.¬p:?x≥0,2x≠3
D.¬p:?x<0,2x≠3

查看答案和解析>>

同步练习册答案