相关习题
 0  84946  84954  84960  84964  84970  84972  84976  84982  84984  84990  84996  85000  85002  85006  85012  85014  85020  85024  85026  85030  85032  85036  85038  85040  85041  85042  85044  85045  85046  85048  85050  85054  85056  85060  85062  85066  85072  85074  85080  85084  85086  85090  85096  85102  85104  85110  85114  85116  85122  85126  85132  85140  266669 

科目: 来源:2012-2013学年浙江省温州市瑞安中学高一(上)期中数学试卷(解析版) 题型:填空题

设f(x)是定义在R上的奇函数,若当x>0时,有f(x)=log2(x+5),则f(-3)=   

查看答案和解析>>

科目: 来源:2012-2013学年浙江省温州市瑞安中学高一(上)期中数学试卷(解析版) 题型:填空题

若函数f(x)=|7x-1|-k有两个零点,则k的范围是   

查看答案和解析>>

科目: 来源:2012-2013学年浙江省温州市瑞安中学高一(上)期中数学试卷(解析版) 题型:填空题

对于函数f(x),若在其定义域内存在两个实数a,b(a<b),使当x∈[a,b]时,f(x)的值域也是[a,b],则称函数f(x)为“科比函数”.若函数f(x)=k+是“科比函数”,则实数k的取值范围是    

查看答案和解析>>

科目: 来源:2012-2013学年浙江省温州市瑞安中学高一(上)期中数学试卷(解析版) 题型:解答题

(1)0.027-(--2+256-3-1+(
(2)(lg2)2+lg2•lg5+3+lg5-log8.

查看答案和解析>>

科目: 来源:2012-2013学年浙江省温州市瑞安中学高一(上)期中数学试卷(解析版) 题型:解答题

已知函数f(x)=-a2x-2ax+1(a>1)
(1)求函数f(x)的值域;
(2)若x∈[-2,1]时,函数f(x)的最小值为-7,求a的值.

查看答案和解析>>

科目: 来源:2012-2013学年浙江省温州市瑞安中学高一(上)期中数学试卷(解析版) 题型:解答题

已知函数f(x)=log3(9x+1)+kx,(k∈R)是偶函数.
(1)求k的值;
(2)若函数g(x)=f(x)-log3m存在零点,求m的取值范围.

查看答案和解析>>

科目: 来源:2012-2013学年浙江省温州市瑞安中学高一(上)期中数学试卷(解析版) 题型:解答题

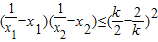
已知集合D={(x1,x2)|x1>0,x2>0,x1+x2=k}(其中k为正常数).
(1)设u=x1x2,求u的取值范围;
(2)求证:当k≥1时不等式对任意(x1,x2)∈D恒成立;
(3)求使不等式对任意(x1,x2)∈D恒成立的k2的范围.

查看答案和解析>>

科目: 来源:2012-2013学年福建省福州市福清市东张中学高一(上)期中数学试卷(解析版) 题型:选择题

已知集合A={x|x(x-2)=0},那么正确的是( )
A.0∈A
B.2∉A
C.-1∈A
D.0∉A

查看答案和解析>>

科目: 来源:2012-2013学年福建省福州市福清市东张中学高一(上)期中数学试卷(解析版) 题型:选择题

已知集合A={0,1,2,3,4,5},B={1,3,6,9},C={3,7,8},则(A∩B)∪C等于( )
A.{0,1,2,6,8}
B.{3,7,8}
C.{1,3,7,8}
D.{1,3,6,7,8}

查看答案和解析>>

科目: 来源:2012-2013学年福建省福州市福清市东张中学高一(上)期中数学试卷(解析版) 题型:选择题

下列四个图形中,不是以x为自变量的函数的图象是( )
A.
B.
C.
D.

查看答案和解析>>

同步练习册答案