相关习题
 0  84951  84959  84965  84969  84975  84977  84981  84987  84989  84995  85001  85005  85007  85011  85017  85019  85025  85029  85031  85035  85037  85041  85043  85045  85046  85047  85049  85050  85051  85053  85055  85059  85061  85065  85067  85071  85077  85079  85085  85089  85091  85095  85101  85107  85109  85115  85119  85121  85127  85131  85137  85145  266669 

科目: 来源:2012-2013学年浙江省台州外国语学校高一(上)期中数学试卷(解析版) 题型:选择题

式子的值为( )
A.
B.
C.2
D.3

查看答案和解析>>

科目: 来源:2012-2013学年浙江省台州外国语学校高一(上)期中数学试卷(解析版) 题型:选择题

设集合M={x|-1≤x<2},N={x|x-k≤0},若M∩N≠∅,则k的取值范围是( )
A.(-∞,2]
B.[-1,+∞)
C.(-1,+∞)
D.[-1,2]

查看答案和解析>>

科目: 来源:2012-2013学年浙江省台州外国语学校高一(上)期中数学试卷(解析版) 题型:选择题

指数函数y=ax的图象经过点(2,16)则a的值是( )
A.
B.
C.2
D.4

查看答案和解析>>

科目: 来源:2012-2013学年浙江省台州外国语学校高一(上)期中数学试卷(解析版) 题型:选择题

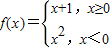
已知函数,则f[f(-2)]的值为( )
A.1
B.2
C.4
D.5

查看答案和解析>>

科目: 来源:2012-2013学年浙江省台州外国语学校高一(上)期中数学试卷(解析版) 题型:选择题

,则( )
A.y3>y1>y2
B.y2>y1>y3
C.y1>y3>y2
D.y1>y2>y3

查看答案和解析>>

科目: 来源:2012-2013学年浙江省台州外国语学校高一(上)期中数学试卷(解析版) 题型:选择题

函数y=2+log2x(x≥1)的值域为( )
A.(2,+∞)
B.(-∞,2)
C.[2,+∞)
D.[3,+∞)

查看答案和解析>>

科目: 来源:2012-2013学年浙江省台州外国语学校高一(上)期中数学试卷(解析版) 题型:选择题

函数的图象是( )
A.
B.
C.
D.

查看答案和解析>>

科目: 来源:2012-2013学年浙江省台州外国语学校高一(上)期中数学试卷(解析版) 题型:选择题

计算(lg2)2+(lg5)2+lg4•lg5等于( )
A.0
B.1
C.2
D.3

查看答案和解析>>

科目: 来源:2012-2013学年浙江省台州外国语学校高一(上)期中数学试卷(解析版) 题型:选择题

已知f(x)=ax7-bx5+cx3+2,且f(-5)=m则f(5)+f(-5)的值为( )
A.4
B.0
C.2m
D.-m+4

查看答案和解析>>

科目: 来源:2012-2013学年浙江省台州外国语学校高一(上)期中数学试卷(解析版) 题型:选择题

若函数f(x)=logax(0<a<1)在区间[a,2a]上的最大值是最小值的3倍,则a等于( )
A.
B.
C.
D.

查看答案和解析>>

同步练习册答案