相关习题
 0  84963  84971  84977  84981  84987  84989  84993  84999  85001  85007  85013  85017  85019  85023  85029  85031  85037  85041  85043  85047  85049  85053  85055  85057  85058  85059  85061  85062  85063  85065  85067  85071  85073  85077  85079  85083  85089  85091  85097  85101  85103  85107  85113  85119  85121  85127  85131  85133  85139  85143  85149  85157  266669 

科目: 来源:2012-2013学年安徽省亳州一中高二(上)期中数学试卷(理科)(解析版) 题型:选择题

由9个正数组成的矩阵中,每行中的三个数成等差数列,且a11+a12+a13,a21+a22+a23,a31+a32+a33成等比数列,给出下列判断:①第2列a12,a22,a32必成等比数列;②第1列a11,a21,a31不一定成等比数列;③a12+a32≥a21+a23;④若9个数之和等于9,则a22≥1.其中正确的个数有( )
A.1个
B.2个
C.3个
D.4个

查看答案和解析>>

科目: 来源:2012-2013学年安徽省亳州一中高二(上)期中数学试卷(理科)(解析版) 题型:填空题

设实数x,y满足约束条件,目标函数z=x-y的取值范围是   

查看答案和解析>>

科目: 来源:2012-2013学年安徽省亳州一中高二(上)期中数学试卷(理科)(解析版) 题型:填空题

在n行m列矩阵中,记位于第i行第j列的数为aij(i,j=1,2…,n).当n=9时,a11+a22+a33+…+a99=   

查看答案和解析>>

科目: 来源:2012-2013学年安徽省亳州一中高二(上)期中数学试卷(理科)(解析版) 题型:填空题

已知函数f(x)=|lg(x-1)|,若a≠b且f(a)=f(b),则a+2b的取值范围是   

查看答案和解析>>

科目: 来源:2012-2013学年安徽省亳州一中高二(上)期中数学试卷(理科)(解析版) 题型:填空题

的解集是{x|-1≤x<2},则a=   

查看答案和解析>>

科目: 来源:2012-2013学年安徽省亳州一中高二(上)期中数学试卷(理科)(解析版) 题型:填空题

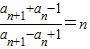
已知数列{an}满足(n为正整数)且a2=6,则数列{an}的通项公式为an=   

查看答案和解析>>

科目: 来源:2012-2013学年安徽省亳州一中高二(上)期中数学试卷(理科)(解析版) 题型:解答题

已知a,b∈(0,+∞),,求的最大值.

查看答案和解析>>

科目: 来源:2012-2013学年安徽省亳州一中高二(上)期中数学试卷(理科)(解析版) 题型:解答题

已知数列{an}的前n项和
(1)求数列{an}的通项公式.
(2)设,求证:

查看答案和解析>>

科目: 来源:2012-2013学年安徽省亳州一中高二(上)期中数学试卷(理科)(解析版) 题型:解答题

已知等差数列{an}满足a2=0,a6+a8=-10
(I)求数列{an}的通项公式;
(II)求数列{}的前n项和.

查看答案和解析>>

科目: 来源:2012-2013学年安徽省亳州一中高二(上)期中数学试卷(理科)(解析版) 题型:解答题

设锐角三角形ABC的内角A,B,C的对边分别为a,b,c,a=2bsinA
(Ⅰ)求B的大小;
(Ⅱ)求cosA+sinC的取值范围.

查看答案和解析>>

同步练习册答案