相关习题
 0  84976  84984  84990  84994  85000  85002  85006  85012  85014  85020  85026  85030  85032  85036  85042  85044  85050  85054  85056  85060  85062  85066  85068  85070  85071  85072  85074  85075  85076  85078  85080  85084  85086  85090  85092  85096  85102  85104  85110  85114  85116  85120  85126  85132  85134  85140  85144  85146  85152  85156  85162  85170  266669 

科目: 来源:2012-2013学年广东省揭阳一中南区学校高二(上)期中数学试卷(文科)(解析版) 题型:选择题

对于任意实数a,b,c,d,命题
①若a>b,c≠0,则ac>bc;
②若a>b,则ac2>bc2
③若ac2>bc2,则a>b;
④若a>b,则
⑤若a>b>0,c>d,则ac>bd.
其中真命题的个数是( )
A.1
B.2
C.3
D.4

查看答案和解析>>

科目: 来源:2012-2013学年广东省揭阳一中南区学校高二(上)期中数学试卷(文科)(解析版) 题型:选择题

已知x>1,则函数的最小值为( )
A.4
B.3
C.2
D.1

查看答案和解析>>

科目: 来源:2012-2013学年广东省揭阳一中南区学校高二(上)期中数学试卷(文科)(解析版) 题型:选择题

△ABC的内角A、B、C的对边分别为a、b、c,若a、b、c成等比数列,且c=2a,则cosB=( )
A.
B.
C.
D.

查看答案和解析>>

科目: 来源:2012-2013学年广东省揭阳一中南区学校高二(上)期中数学试卷(文科)(解析版) 题型:选择题

小明玩投石子游戏,第一次走1米放2颗石子,第二次走2米放4颗石子,…,第n次走n米放2n颗石子,当小明一共走了36米时,他投放石子的总数是( )
A.180
B.254
C.510
D.512

查看答案和解析>>

科目: 来源:2012-2013学年广东省揭阳一中南区学校高二(上)期中数学试卷(文科)(解析版) 题型:选择题

某流程如图所示,现输入如下四个函数,则可以输出的函数是( )

A.f(x)=x2
B.f(x)=
C.f(x)=sin
D.f(x)=lnx+2x-6

查看答案和解析>>

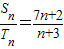
科目: 来源:2012-2013学年广东省揭阳一中南区学校高二(上)期中数学试卷(文科)(解析版) 题型:选择题

两个等差数列{an}和{bn},其前n项和分别为Sn,Tn,且,则等于( )
A.
B.
C.
D.

查看答案和解析>>

科目: 来源:2012-2013学年广东省揭阳一中南区学校高二(上)期中数学试卷(文科)(解析版) 题型:填空题

若数列{an}的前n项和Sn=n2-10n(n=1,2,3,…),则此数列的通项公式   

查看答案和解析>>

科目: 来源:2012-2013学年广东省揭阳一中南区学校高二(上)期中数学试卷(文科)(解析版) 题型:填空题

不等式-2>0的解集是   

查看答案和解析>>

科目: 来源:2012-2013学年广东省揭阳一中南区学校高二(上)期中数学试卷(文科)(解析版) 题型:填空题

不等式组表示的平面区域的面积为   

查看答案和解析>>

科目: 来源:2012-2013学年广东省揭阳一中南区学校高二(上)期中数学试卷(文科)(解析版) 题型:填空题

在数列{an}中,a1=1,且对于任意正整数n,都有an+1=an+n,则a100=   

查看答案和解析>>

同步练习册答案