相关习题
 0  84996  85004  85010  85014  85020  85022  85026  85032  85034  85040  85046  85050  85052  85056  85062  85064  85070  85074  85076  85080  85082  85086  85088  85090  85091  85092  85094  85095  85096  85098  85100  85104  85106  85110  85112  85116  85122  85124  85130  85134  85136  85140  85146  85152  85154  85160  85164  85166  85172  85176  85182  85190  266669 

科目: 来源:2012-2013学年浙江省宁波四中高一(上)期中数学试卷(解析版) 题型:解答题

设全集为U=R,集合A为函数的定义域,B={x|2x-4≥x-2}
(1)求A∪B,∁U(A∩B)
(2)若集合C={x|2x+a>0},满足B∪C=C,求实数a的取值范围.

查看答案和解析>>

科目: 来源:2012-2013学年浙江省宁波四中高一(上)期中数学试卷(解析版) 题型:解答题

已知f(x)是R上的偶函数,当x≥0时,
(1)求当x<0时,f(x)的表达式
(2)判断f(x)在区间(0,+∞)的单调性,并用定义加以证明.

查看答案和解析>>

科目: 来源:2012-2013学年浙江省宁波四中高一(上)期中数学试卷(解析版) 题型:解答题

已知函数是奇函数,且f(1)=2
(1)求f(x)的表达式;
(2),记,求S的值.

查看答案和解析>>

科目: 来源:2012-2013学年浙江省宁波四中高一(上)期中数学试卷(解析版) 题型:解答题

如图,有一块矩形空地,要在这块空地上辟一个内接四边形为绿地,使其四个顶点分别落在矩形的四条边上,已知AB=a(a>2),BC=2,且AE=AH=CF=CG,设AE=x,绿地面积为y.
(1)写出y关于x的函数关系式,并指出这个函数的定义域.
(2)当AE为何值时,绿地面积最大?

查看答案和解析>>

科目: 来源:2012-2013学年浙江省宁波四中高一(上)期中数学试卷(解析版) 题型:解答题

已知:函数f(x)对一切实数x,y都有f(x+y)-f(y)=x(x+2y+1)成立,且f(1)=0.
(1)求f(0)的值.
(2)求f(x)的解析式.
(3)已知a∈R,设P:当时,不等式f(x)+3<2x+a恒成立;Q:当x∈[-2,2]时,g(x)=f(x)-ax是单调函数.如果满足P成立的a的集合记为A,满足Q成立的a的集合记为B,求A∩CRB(R为全集).

查看答案和解析>>

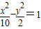
科目: 来源:2012-2013学年河南省安阳二中高二(上)期中数学试卷(文科)(解析版) 题型:选择题

双曲线的焦距为( )
A.3
B.4
C.3
D.4

查看答案和解析>>

科目: 来源:2012-2013学年河南省安阳二中高二(上)期中数学试卷(文科)(解析版) 题型:选择题

不等式y≥-x表示的平面区域是( )
A.
B.
C.
D.

查看答案和解析>>

科目: 来源:2012-2013学年河南省安阳二中高二(上)期中数学试卷(文科)(解析版) 题型:选择题

若a、b、c∈R,a>b,则下列不等式成立的是( )
A.
B.a2>b2
C.
D.a|c|>b|c|

查看答案和解析>>

科目: 来源:2012-2013学年河南省安阳二中高二(上)期中数学试卷(文科)(解析版) 题型:选择题

设{an}是等比数列,则“a1<a2<a3”是“数列{an}是递增数列”的( )
A.充分不必要条件
B.必要不充分条件
C.充分必要条件
D.既不充分又不必要条件

查看答案和解析>>

科目: 来源:2012-2013学年河南省安阳二中高二(上)期中数学试卷(文科)(解析版) 题型:选择题

不等式的解集是( )
A.{x|x>1}
B.{x|x≥1}
C.{x|x≥1或x=-2}
D.{x|x≥-2或x=1}

查看答案和解析>>

同步练习册答案