相关习题
 0  85019  85027  85033  85037  85043  85045  85049  85055  85057  85063  85069  85073  85075  85079  85085  85087  85093  85097  85099  85103  85105  85109  85111  85113  85114  85115  85117  85118  85119  85121  85123  85127  85129  85133  85135  85139  85145  85147  85153  85157  85159  85163  85169  85175  85177  85183  85187  85189  85195  85199  85205  85213  266669 

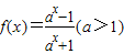
科目: 来源:2011-2012学年广东省广州六中高一(上)期中数学试卷(解析版) 题型:解答题

已知函数
(1)判断函数f(x)的奇偶性;
(2)证明f(x)在(-∞,+∞)上是增函数.

查看答案和解析>>

科目: 来源:2011-2012学年广东省广州六中高一(上)期中数学试卷(解析版) 题型:解答题

已知函数f(x)=lg,(其中k实数)
(Ⅰ)求函数f(x)的定义域;
(Ⅱ)若f(x)在(-∞,2]上有意义,试求实数k的取值范围.

查看答案和解析>>

科目: 来源:2011-2012学年广东省广州六中高一(上)期中数学试卷(解析版) 题型:解答题

为了预防甲型H1N1流感,某学校对教室用某种药物进行消毒.已知药物释放过程中,室内每立方米空气中的含药量y(毫克)与时间t(小时)成正比;药物释放完毕后,y与t的函数关系式为(a为常数),如图所示,根据图中提供的信息,回答下列问题:
(1)求从药物释放开始,每立方米空气中的含药量y(毫克)与时间t(小时)之间的函数关系式.
(2)据测定,当空气中每立方米的含药量降低到0.25毫克以下时,学生方可进教室,那么从药物释放开始,至少需要经过多少小时后,学生才能回答教室.

查看答案和解析>>

科目: 来源:2011-2012学年广东省广州六中高一(上)期中数学试卷(解析版) 题型:解答题

函数y=lg(3-4x+x2)的定义域为M,函数f(x)=4x-2x+1(x∈M).
(1)求M;
(2)求函数f(x)的值域;
(3)当x∈M时,若关于x的方程4x-2x+1=b(b∈R)有实数根,求b的取值范围,并讨论实数根的个数.

查看答案和解析>>

科目: 来源:2012-2013学年陕西省西安一中高三(上)期中数学试卷(文科)(解析版) 题型:选择题

设集合M={x|x2-2x<0},N={x|-1≤x≤1},则M∩N=( )
A.{x|0<x<1}
B.{x|1≤x<2}
C.{x|0<x≤1}
D.{x|1<x<2}

查看答案和解析>>

科目: 来源:2012-2013学年陕西省西安一中高三(上)期中数学试卷(文科)(解析版) 题型:选择题

若a∈R,则a=2是(a-1)(a-2)=0的( )
A.充分不必要条件
B.必要不充分条件
C.充要条件
D.既不充分也不必要条件

查看答案和解析>>

科目: 来源:2012-2013学年陕西省西安一中高三(上)期中数学试卷(文科)(解析版) 题型:选择题

设Sn为等差数列{an}的前n项和,公差d=-2,若S10=S11,则a1=( )
A.18
B.20
C.22
D.24

查看答案和解析>>

科目: 来源:2012-2013学年陕西省西安一中高三(上)期中数学试卷(文科)(解析版) 题型:选择题

设复数Z满足(1+i)Z=2,其中i为虚数单位,则Z=( )
A.1+i
B.1-i
C.2+2i
D.2-2i

查看答案和解析>>

科目: 来源:2012-2013学年陕西省西安一中高三(上)期中数学试卷(文科)(解析版) 题型:选择题

曲线y=-x3+3x2在点(1,2)处的切线方程为( )
A.y=3x-1
B.y=-3x+5
C.y=3x+5
D.y=2

查看答案和解析>>

科目: 来源:2012-2013学年陕西省西安一中高三(上)期中数学试卷(文科)(解析版) 题型:选择题

在下列区间中,函数f(x)=ex+4x-3的零点所在的区间为( )
A.(-,0)
B.(0,
C.(
D.(

查看答案和解析>>

同步练习册答案