相关习题
 0  85023  85031  85037  85041  85047  85049  85053  85059  85061  85067  85073  85077  85079  85083  85089  85091  85097  85101  85103  85107  85109  85113  85115  85117  85118  85119  85121  85122  85123  85125  85127  85131  85133  85137  85139  85143  85149  85151  85157  85161  85163  85167  85173  85179  85181  85187  85191  85193  85199  85203  85209  85217  266669 

科目: 来源:2012-2013学年福建省莆田八中高一(上)期中数学试卷(解析版) 题型:解答题

医学上为研究传染病传播中病毒细胞的发展规律及其预防,将病毒细胞注入一只小白鼠体内进行实验,经检测,病毒细胞的总数与天数的关系记录如下表.
 天数t1234567
病毒细胞总数N1392781243729
已知该种病毒细胞在小白鼠体内的个数超过108的时候小白鼠将死亡.但注射某种药物,将可杀死其体内该病毒细胞的97%.
(1)根据表格提供的数据,写出N关于t的函数解析式.
(2)为了使小白鼠在实验过程中不死亡,第一次最迟应在何时注射该种药物?
(3)按(1)中的结论,第二次最迟应在何时注射该种药物,才能维持小白鼠的生命?(精确到天,参考数据:lg3=0.3010.)

查看答案和解析>>

科目: 来源:2012-2013学年福建省莆田八中高一(上)期中数学试卷(解析版) 题型:解答题

附加题
(1)已知关于x的方程|x2-1|=a|x-1|只有一个实数解,则实数a的取值范围为______
(2)设[x]是不超过x的最大整数,则[log31]+[log32]+[log33]+…[log3100]=______.

查看答案和解析>>

科目: 来源:2011-2012学年福建省厦门市同安区五显中学高一(上)期中数学试卷(解析版) 题型:选择题

设集合A={2,3},B={3,4},C={3,4,5},则(A∩B)∪C=( )
A.{2,3,4}
B.{2,3,5}
C.{3,4,5}
D.{2,3,4,5}

查看答案和解析>>

科目: 来源:2011-2012学年福建省厦门市同安区五显中学高一(上)期中数学试卷(解析版) 题型:选择题

函数的定义域为( )
A.[1,2)∪(2,+∞)
B.(1,+∞)
C.[1,2)
D.[1,+∞)

查看答案和解析>>

科目: 来源:2011-2012学年福建省厦门市同安区五显中学高一(上)期中数学试卷(解析版) 题型:选择题

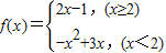
已知,则f(-1)+f(3)的值为( )
A.-7
B.3
C.-8
D.1

查看答案和解析>>

科目: 来源:2011-2012学年福建省厦门市同安区五显中学高一(上)期中数学试卷(解析版) 题型:选择题

若集合M={y|y=2x},N={x|y=},则M∩N=( )
A.{x|x>1}
B.{x|x≥1}
C.{x|x>0}
D.{x|x≥0}

查看答案和解析>>

科目: 来源:2011-2012学年福建省厦门市同安区五显中学高一(上)期中数学试卷(解析版) 题型:选择题

下列各式中成立的一项( )
A.
B.
C.
D.

查看答案和解析>>

科目: 来源:2011-2012学年福建省厦门市同安区五显中学高一(上)期中数学试卷(解析版) 题型:选择题

下列函数为偶函数且在[0,+∞)上为增函数的是( )
A.y=
B.y=x2
C.y=2x
D.y=-x2

查看答案和解析>>

科目: 来源:2011-2012学年福建省厦门市同安区五显中学高一(上)期中数学试卷(解析版) 题型:选择题

函数y=x2-6x的增区间是( )
A.(-∞,2]
B.[2,+∞)
C.(-∞,3]
D.[3,+∞)

查看答案和解析>>

科目: 来源:2011-2012学年福建省厦门市同安区五显中学高一(上)期中数学试卷(解析版) 题型:选择题

若奇函数f(x)在[1,3]上为增函数,且有最小值0,则它在[-3,-1]上( )
A.是减函数,有最小值0
B.是增函数,有最小值0
C.是减函数,有最大值0
D.是增函数,有最大值0

查看答案和解析>>

同步练习册答案