相关习题
 0  85033  85041  85047  85051  85057  85059  85063  85069  85071  85077  85083  85087  85089  85093  85099  85101  85107  85111  85113  85117  85119  85123  85125  85127  85128  85129  85131  85132  85133  85135  85137  85141  85143  85147  85149  85153  85159  85161  85167  85171  85173  85177  85183  85189  85191  85197  85201  85203  85209  85213  85219  85227  266669 

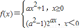
科目: 来源:2012-2013学年湖南省郴州一中高一(上)期中数学试卷(解析版) 题型:选择题

函数,在(-∞,+∞)上单调递增,则a的取值范围是( )
A.(-∞,-]∪(1,]
B.( 1,]
C.[-,-1)∪[,+∞)
D.[,+∞)

查看答案和解析>>

科目: 来源:2012-2013学年湖南省郴州一中高一(上)期中数学试卷(解析版) 题型:填空题

若函数f(x)=1+2mx+(m2-1)x2是偶函数,则m=   

查看答案和解析>>

科目: 来源:2012-2013学年湖南省郴州一中高一(上)期中数学试卷(解析版) 题型:填空题

用二分法研究函数f(x)=x3+3x-1的零点时,第一次经计算f(0)<0,f(0.5)>0,可得其中一个零点x∈(0,0.5),第二次应计算f(0.25),这时可判断x   

查看答案和解析>>

科目: 来源:2012-2013学年湖南省郴州一中高一(上)期中数学试卷(解析版) 题型:填空题

幂函数f(x)=xα的图象经过点(4,2),那么f(8)=   

查看答案和解析>>

科目: 来源:2012-2013学年湖南省郴州一中高一(上)期中数学试卷(解析版) 题型:填空题

计算:=   

查看答案和解析>>

科目: 来源:2012-2013学年湖南省郴州一中高一(上)期中数学试卷(解析版) 题型:填空题

函数y=(|x+2|的增区间为   

查看答案和解析>>

科目: 来源:2012-2013学年湖南省郴州一中高一(上)期中数学试卷(解析版) 题型:填空题

定义在R上的函数f(x)满足f(x+y)=f(x)+f(y)+2xy(x,y∈R),f(1)=2,则(i)f(2)=    ;(ii)f(-2)=   

查看答案和解析>>

科目: 来源:2012-2013学年湖南省郴州一中高一(上)期中数学试卷(解析版) 题型:填空题

设[x]表示不超x的最大整数(如),对于给定的n∈N*,定义,则 (i)=    ;(ii)当x∈[2,3)时,函数的值域是   

查看答案和解析>>

科目: 来源:2012-2013学年湖南省郴州一中高一(上)期中数学试卷(解析版) 题型:解答题

已知全集U=R,集合A={x|x>2},B={x|-1<x<3}.求:A∩B;(CUB)∪A.

查看答案和解析>>

科目: 来源:2012-2013学年湖南省郴州一中高一(上)期中数学试卷(解析版) 题型:解答题

已知函数,且a≠1)的定义域为M.
(Ⅰ)求定义域M,并写出f(x)的单调递增区间;
(Ⅱ)当x∈M时,求函数g(x)=2x+3-4x的值域.

查看答案和解析>>

同步练习册答案