相关习题
 0  85153  85161  85167  85171  85177  85179  85183  85189  85191  85197  85203  85207  85209  85213  85219  85221  85227  85231  85233  85237  85239  85243  85245  85247  85248  85249  85251  85252  85253  85255  85257  85261  85263  85267  85269  85273  85279  85281  85287  85291  85293  85297  85303  85309  85311  85317  85321  85323  85329  85333  85339  85347  266669 

科目: 来源:2012-2013学年广东省江门市开平市开侨中学高二(上)期中数学试卷(理科)(解析版) 题型:选择题

在△ABC中,a=15,b=10,A=60°,则cosB=( )
A.-
B.
C.-
D.

查看答案和解析>>

科目: 来源:2012-2013学年广东省江门市开平市开侨中学高二(上)期中数学试卷(理科)(解析版) 题型:选择题

已知函数f(x)=,若f(x)≥1,则x的取值范围是( )
A.(-∞,-1]
B.[1,+∞)
C.(-∞,0]∪[1,+∞)
D.(-∞,-1]∪[1,+∞)

查看答案和解析>>

科目: 来源:2012-2013学年广东省江门市开平市开侨中学高二(上)期中数学试卷(理科)(解析版) 题型:选择题

在△ABC中,角A,B,C所对的边长分别为a,b,c,若∠C=120°,c=a,则( )
A.a>b
B.a<b
C.a=b
D.a与b的大小关系不能确定

查看答案和解析>>

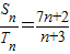
科目: 来源:2012-2013学年广东省江门市开平市开侨中学高二(上)期中数学试卷(理科)(解析版) 题型:选择题

两个等差数列{an}和{bn},其前n项和分别为Sn,Tn,且,则等于( )
A.
B.
C.
D.

查看答案和解析>>

科目: 来源:2012-2013学年广东省江门市开平市开侨中学高二(上)期中数学试卷(理科)(解析版) 题型:填空题

设等比数列前三项分别为a,2a,8,则a=   

查看答案和解析>>

科目: 来源:2012-2013学年广东省江门市开平市开侨中学高二(上)期中数学试卷(理科)(解析版) 题型:填空题

若数列{an}的前n项和,则a3=   

查看答案和解析>>

科目: 来源:2012-2013学年广东省江门市开平市开侨中学高二(上)期中数学试卷(理科)(解析版) 题型:填空题

不等式(a-2)x2+2(a-2)x-4<0对一切x∈R恒成立,则实数a的取值范围是   

查看答案和解析>>

科目: 来源:2012-2013学年广东省江门市开平市开侨中学高二(上)期中数学试卷(理科)(解析版) 题型:填空题

在△ABC中,角A、B、C的对边边长分别是a、b、c,若,b=1,则c的值为   

查看答案和解析>>

科目: 来源:2012-2013学年广东省江门市开平市开侨中学高二(上)期中数学试卷(理科)(解析版) 题型:填空题

已知实数x,y满足,则Z=2x+3y的最小值是   

查看答案和解析>>

科目: 来源:2012-2013学年广东省江门市开平市开侨中学高二(上)期中数学试卷(理科)(解析版) 题型:填空题

设等差数列{an}的前n项和为Sn,则S4,S8-S4,S12-S8,S16-S12成等差数列.类比以上结论有:设等比数列{bn}的前n项积为Tn,则T4        成等比数列.

查看答案和解析>>

同步练习册答案