相关习题
 0  85201  85209  85215  85219  85225  85227  85231  85237  85239  85245  85251  85255  85257  85261  85267  85269  85275  85279  85281  85285  85287  85291  85293  85295  85296  85297  85299  85300  85301  85303  85305  85309  85311  85315  85317  85321  85327  85329  85335  85339  85341  85345  85351  85357  85359  85365  85369  85371  85377  85381  85387  85395  266669 

科目: 来源:2012-2013学年山东省济南市高三(上)期中数学试卷(理科)(解析版) 题型:选择题

己知△ABC的三边长分别为a,b,c且面积,则A等于( )
A.45°
B.30°
C.120°
D.15°

查看答案和解析>>

科目: 来源:2012-2013学年山东省济南市高三(上)期中数学试卷(理科)(解析版) 题型:选择题

已知函数f(x)=sin(2x+ϕ),其中ϕ为实数,若对x∈R恒成立,且,则f(x)的单调递增区间是( )
A.
B.
C.
D.

查看答案和解析>>

科目: 来源:2012-2013学年山东省济南市高三(上)期中数学试卷(理科)(解析版) 题型:填空题

   

查看答案和解析>>

科目: 来源:2012-2013学年山东省济南市高三(上)期中数学试卷(理科)(解析版) 题型:填空题

已知函数y=x3-3x+d的图象与x轴恰有两个公共点,则d=   

查看答案和解析>>

科目: 来源:2012-2013学年山东省济南市高三(上)期中数学试卷(理科)(解析版) 题型:填空题

已知a是第二象限的角,tan(π+2a)=-,则tana=   

查看答案和解析>>

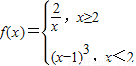
科目: 来源:2012-2013学年山东省济南市高三(上)期中数学试卷(理科)(解析版) 题型:填空题

已知函数若关于x 的方程f(x)=k有两个不同的实根,则数k的取值范围是   

查看答案和解析>>

科目: 来源:2012-2013学年山东省济南市高三(上)期中数学试卷(理科)(解析版) 题型:解答题

已知a>0,设命题p:函数y=ax在R上单调递增;命题q:不等式ax2-ax+1>0对?x∈R恒成立.若p且q为假,p或q为真,求a的取值范围.

查看答案和解析>>

科目: 来源:2012-2013学年山东省济南市高三(上)期中数学试卷(理科)(解析版) 题型:解答题

在△ABC,角A,B,C所对应的边为a,b,c.
(1)若,求A的值;
(2)若,求sinC的值.

查看答案和解析>>

科目: 来源:2012-2013学年山东省济南市高三(上)期中数学试卷(理科)(解析版) 题型:解答题

已知函数
(Ⅰ)求f(x)的最小正周期:
(Ⅱ)求f(x)在区间上的最大值和最小值.

查看答案和解析>>

科目: 来源:2012-2013学年山东省济南市高三(上)期中数学试卷(理科)(解析版) 题型:解答题

已知f(x)是定义在[-1,1]上的奇函数,若任意的a、b∈[-1,1],且a+b≠0,都有
(1)判断f(x)在[-1,1]上的单调性,并证明你的结论;
(2)解不等式:f(x+1)<f().

查看答案和解析>>

同步练习册答案