相关习题
 0  85267  85275  85281  85285  85291  85293  85297  85303  85305  85311  85317  85321  85323  85327  85333  85335  85341  85345  85347  85351  85353  85357  85359  85361  85362  85363  85365  85366  85367  85369  85371  85375  85377  85381  85383  85387  85393  85395  85401  85405  85407  85411  85417  85423  85425  85431  85435  85437  85443  85447  85453  85461  266669 

科目: 来源:2012-2013学年广东省名校高一(上)期中数学试卷(解析版) 题型:选择题

图中的图象所表示的函数的解析式为( )
A.y=|x-1|(0≤x≤2)
B.y=-|x-1|(0≤x≤2)
C.y=-|x-1|(0≤x≤2)
D.y=1-|x-1|(0≤x≤2)

查看答案和解析>>

科目: 来源:2012-2013学年广东省名校高一(上)期中数学试卷(解析版) 题型:选择题

下列四组函数,表示同一函数的是( )
A.f(x)=,g(x)=
B.f(x)=x,g(x)=
C.f(x)=lnx2,g(x)=2ln
D.f(x)=logaax(0<a≠1),g(x)=

查看答案和解析>>

科目: 来源:2012-2013学年广东省名校高一(上)期中数学试卷(解析版) 题型:选择题

设f(x)=3x+3x-8,用二分法求方程3x+3x-8=0在x∈(1,2)内近似解的过程中得f(1)<0,f(1.5)>0,f(1.25)<0,则方程的根落在区间( )
A.(1,1.25)
B.(1.25,1.5)
C.(1.5,2)
D.不能确定

查看答案和解析>>

科目: 来源:2012-2013学年广东省名校高一(上)期中数学试卷(解析版) 题型:选择题

当a>1时,在同一坐标系中,函数y=a-x与y=logax的图象( )
A.
B.
C.
D.

查看答案和解析>>

科目: 来源:2012-2013学年广东省名校高一(上)期中数学试卷(解析版) 题型:选择题

,则( )
A.a<b<c
B.c<b<a
C.c<a<b
D.b<a<c

查看答案和解析>>

科目: 来源:2012-2013学年广东省名校高一(上)期中数学试卷(解析版) 题型:选择题

若奇函数f(x)在[1,3]为增函数,且有最小值7,则它在[-3,-1]上( )
A.是减函数,有最小值-7
B.是增函数,有最小值-7
C.是减函数,有最大值-7
D.是增函数,有最大值-7

查看答案和解析>>

科目: 来源:2012-2013学年广东省名校高一(上)期中数学试卷(解析版) 题型:选择题

对实数a与b,定义新运算“?”:设函数f(x)=(x2-2)?(x-x2),x∈R.若函数y=f(x)-c的图象与x轴恰有两个公共点,则实数c的取值范围是( )
A.
B.
C.
D.

查看答案和解析>>

科目: 来源:2012-2013学年广东省名校高一(上)期中数学试卷(解析版) 题型:填空题

已知(x,y)在映射f下的对应元素是(x+y,x-y),则(4,6)在映射f下的对应元素是   

查看答案和解析>>

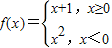
科目: 来源:2012-2013学年广东省名校高一(上)期中数学试卷(解析版) 题型:填空题

已知函数,则f[f(-2)]=   

查看答案和解析>>

科目: 来源:2012-2013学年广东省名校高一(上)期中数学试卷(解析版) 题型:填空题

方程的解的个数为    个.

查看答案和解析>>

同步练习册答案