相关习题
 0  85321  85329  85335  85339  85345  85347  85351  85357  85359  85365  85371  85375  85377  85381  85387  85389  85395  85399  85401  85405  85407  85411  85413  85415  85416  85417  85419  85420  85421  85423  85425  85429  85431  85435  85437  85441  85447  85449  85455  85459  85461  85465  85471  85477  85479  85485  85489  85491  85497  85501  85507  85515  266669 

科目: 来源:2012-2013学年黑龙江省哈尔滨三中高三(上)期中数学试卷(文科)(解析版) 题型:选择题

在各项都为正数的等比数列{an}中,若a5•a6=9,则log3a1+log3a2+log3a3+…+log3a10等于( )
A.8
B.10
C.12
D.2+log35

查看答案和解析>>

科目: 来源:2012-2013学年黑龙江省哈尔滨三中高三(上)期中数学试卷(文科)(解析版) 题型:选择题

已知函数,则( )
A.函数f(x)的周期为2π
B.函数f(x)在区间上单调递增
C.函数f(x)的图象关于直线对称
D.函数f(x)的图象关于点对称

查看答案和解析>>

科目: 来源:2012-2013学年黑龙江省哈尔滨三中高三(上)期中数学试卷(文科)(解析版) 题型:选择题

已知直线l,m,平面α,β,且l⊥α,m?β,给出下列四个命题:
①若α∥β,则l⊥m;
②若l⊥m,则α∥β;
③若α⊥β,则l∥m;
④若l∥m,则α⊥β
其中正确命题的个数是( )
A.0
B.1
C.2
D.3

查看答案和解析>>

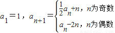
科目: 来源:2012-2013学年黑龙江省哈尔滨三中高三(上)期中数学试卷(文科)(解析版) 题型:选择题

已知数列{an}满足:,且bn=a2n-2,n∈N*,则b3等于( )
A.
B.
C.4
D.6

查看答案和解析>>

科目: 来源:2012-2013学年黑龙江省哈尔滨三中高三(上)期中数学试卷(文科)(解析版) 题型:选择题

四棱锥P-ABCD的五个顶点都在一个球面上,其三视图如图所示,E、F分别是棱AB、CD的中点,直线EF被球面所截得的线段长为,则该球表面积为( )

A.9π
B.3π
C.
D.12π

查看答案和解析>>

科目: 来源:2012-2013学年黑龙江省哈尔滨三中高三(上)期中数学试卷(文科)(解析版) 题型:选择题

数列{an}的通项,其前n项和为Sn,则S24的值为( )
A.470
B.360
C.304
D.169

查看答案和解析>>

科目: 来源:2012-2013学年黑龙江省哈尔滨三中高三(上)期中数学试卷(文科)(解析版) 题型:填空题

数列{an}中,(n≥2,n∈N*),则数列{an}的通项公式an=   

查看答案和解析>>

科目: 来源:2012-2013学年黑龙江省哈尔滨三中高三(上)期中数学试卷(文科)(解析版) 题型:填空题

△ABC中,角A、B、C所对的边分别为a、b、c,若,a=1,c=2b,则b=   

查看答案和解析>>

科目: 来源:2012-2013学年黑龙江省哈尔滨三中高三(上)期中数学试卷(文科)(解析版) 题型:填空题

在矩形ABCD中,AB=2,BC=1,取AB中点E,CD中点F,若沿EF将矩形AEFD折起,使得平面AEF⊥平面EFB,则AE中点Q到平面BFD的距离为   

查看答案和解析>>

科目: 来源:2012-2013学年黑龙江省哈尔滨三中高三(上)期中数学试卷(文科)(解析版) 题型:填空题

已知函数f(x),对任意的实数x满足f(x-2)=f(x+2),且当x∈[-1,3)时,,若直线与函数f(x)的图象有3个公共点,则实数k的取值范围为   

查看答案和解析>>

同步练习册答案