相关习题
 0  85332  85340  85346  85350  85356  85358  85362  85368  85370  85376  85382  85386  85388  85392  85398  85400  85406  85410  85412  85416  85418  85422  85424  85426  85427  85428  85430  85431  85432  85434  85436  85440  85442  85446  85448  85452  85458  85460  85466  85470  85472  85476  85482  85488  85490  85496  85500  85502  85508  85512  85518  85526  266669 

科目: 来源:2012-2013学年福建省泉州市南安一中高二(上)期中数学试卷(理科)(解析版) 题型:选择题

如图:在平行六面体ABCD-A1B1C1D1中,M为A1C1与B1D1的交点.若,则下列向量中与相等的向量是( )
A.
B.
C.
D.

查看答案和解析>>

科目: 来源:2012-2013学年福建省泉州市南安一中高二(上)期中数学试卷(理科)(解析版) 题型:选择题

有以下命题:
①如果向量与任何向量不能构成空间向量的一组基底,那么的关系是不共线;
②O,A,B,C为空间四点,且向量不构成空间的一个基底,那么点O,A,B,C一定共面;
③已知向量是空间的一个基底,则向量,也是空间的一个基底.
其中正确的命题是( )
A.①②
B.①③
C.②③
D.①②③

查看答案和解析>>

科目: 来源:2012-2013学年福建省泉州市南安一中高二(上)期中数学试卷(理科)(解析版) 题型:选择题

若点P到直线x=-1的距离比它到点(2,0)的距离小1,则点P的轨迹为( )
A.圆
B.椭圆
C.双曲线
D.抛物线

查看答案和解析>>

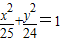
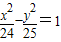
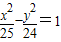
科目: 来源:2012-2013学年福建省泉州市南安一中高二(上)期中数学试卷(理科)(解析版) 题型:选择题

设椭圆C1的离心率为,焦点在x轴上且长轴长为30.若曲线C2上的点到椭圆C1的两个焦点的距离的差的绝对值等于10,则曲线C2的标准方程为( )
A.
B.
C.
D.

查看答案和解析>>

科目: 来源:2012-2013学年福建省泉州市南安一中高二(上)期中数学试卷(理科)(解析版) 题型:选择题

“k>9”是“方程表示双曲线”的( )
A.必要不充分条件
B.充分不必要条件
C.既不充分也不必要条件
D.充要条件

查看答案和解析>>

科目: 来源:2012-2013学年福建省泉州市南安一中高二(上)期中数学试卷(理科)(解析版) 题型:选择题

已知抛物线y2=8x,过点A(2,0)作倾斜角为的直线l,若l与抛物线交于B、C两点,弦BC的中点P到y轴的距离为
( )
A.
B.
C.
D.8

查看答案和解析>>

科目: 来源:2012-2013学年福建省泉州市南安一中高二(上)期中数学试卷(理科)(解析版) 题型:选择题

连接抛物线x2=4y的焦点F与点M(1,0)所得的线段与抛物线交于点A,设点O为坐标原点,则三角形OAM的面积为( )
A.
B.
C.
D.

查看答案和解析>>

科目: 来源:2012-2013学年福建省泉州市南安一中高二(上)期中数学试卷(理科)(解析版) 题型:选择题

已知F1,F2分别是双曲线-=1(a>b>0)的两个焦点,A和B是以O(O为坐标原点)为圆心,|OF1|为半径的圆与该双曲线左支的两个交点,且△F2AB是等边三角形,则双曲线的离心率为( )
A.
B.
C.
D.+1

查看答案和解析>>

科目: 来源:2012-2013学年福建省泉州市南安一中高二(上)期中数学试卷(理科)(解析版) 题型:选择题

设点P(x,y)是曲线上的点,又点F1(-4,0),F2(4,0),下列结论正确的是( )
A.|PF1|+|PF2|=10
B.|PF1|+|PF2|<10
C.|PF1|+|PF2|≤10
D.|PF1|+|PF2|>10

查看答案和解析>>

科目: 来源:2012-2013学年福建省泉州市南安一中高二(上)期中数学试卷(理科)(解析版) 题型:填空题

命题“若a=-1,则a2=1”的否命题是   

查看答案和解析>>

同步练习册答案