相关习题
 0  85345  85353  85359  85363  85369  85371  85375  85381  85383  85389  85395  85399  85401  85405  85411  85413  85419  85423  85425  85429  85431  85435  85437  85439  85440  85441  85443  85444  85445  85447  85449  85453  85455  85459  85461  85465  85471  85473  85479  85483  85485  85489  85495  85501  85503  85509  85513  85515  85521  85525  85531  85539  266669 

科目: 来源:2012-2013学年黑龙江省哈尔滨三中高三(上)期中数学试卷(理科)(解析版) 题型:选择题

在各项都为正数的等比数列{an}中,若a5•a6=9,则log3a1+log3a2+log3a3+…+log3a10等于( )
A.8
B.10
C.12
D.2+log35

查看答案和解析>>

科目: 来源:2012-2013学年黑龙江省哈尔滨三中高三(上)期中数学试卷(理科)(解析版) 题型:选择题

已知函数,则( )
A.函数f(x)的周期为2π
B.函数f(x)在区间上单调递增
C.函数f(x)的图象关于直线对称
D.函数f(x)的图象关于点对称

查看答案和解析>>

科目: 来源:2012-2013学年黑龙江省哈尔滨三中高三(上)期中数学试卷(理科)(解析版) 题型:选择题

已知直线l⊥平面α,直线m?平面β,给出下列四个命题:
①α∥β⇒l⊥m
②α⊥β⇒l∥m;
③l∥m⇒α⊥β;
④l⊥m⇒α∥β.
其中正确的命题有( )个.
A.1个
B.2个
C.3个
D.4个

查看答案和解析>>

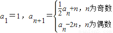
科目: 来源:2012-2013学年黑龙江省哈尔滨三中高三(上)期中数学试卷(理科)(解析版) 题型:选择题

已知数列{an}满足:,且bn=a2n-2,n∈N*,则b3等于( )
A.
B.
C.4
D.6

查看答案和解析>>

科目: 来源:2012-2013学年黑龙江省哈尔滨三中高三(上)期中数学试卷(理科)(解析版) 题型:选择题

四棱锥P-ABCD的五个顶点都在一个球面上,其三视图如图所示,E、F分别是棱AB、CD的中点,直线EF被球面所截得的线段长为,则该球表面积为( )

A.9π
B.3π
C.
D.12π

查看答案和解析>>

科目: 来源:2012-2013学年黑龙江省哈尔滨三中高三(上)期中数学试卷(理科)(解析版) 题型:选择题

数列{an}的通项,其前n项和为Sn,则S24的值为( )
A.470
B.360
C.304
D.169

查看答案和解析>>

科目: 来源:2012-2013学年黑龙江省哈尔滨三中高三(上)期中数学试卷(理科)(解析版) 题型:填空题

数列{an}中,(n≥2,n∈N*),则数列{an}的通项公式an=   

查看答案和解析>>

科目: 来源:2012-2013学年黑龙江省哈尔滨三中高三(上)期中数学试卷(理科)(解析版) 题型:填空题

△ABC中,角A、B、C所对的边分别为a、b、c,若,a=1,c=2b,则b=   

查看答案和解析>>

科目: 来源:2012-2013学年黑龙江省哈尔滨三中高三(上)期中数学试卷(理科)(解析版) 题型:填空题

在矩形ABCD中,AB=2,BC=1,取AB中点E,CD中点F,若沿EF将矩形AEFD折起,使得平面AEF⊥平面EFB,则AE中点Q到平面BFD的距离为   

查看答案和解析>>

科目: 来源:2012-2013学年黑龙江省哈尔滨三中高三(上)期中数学试卷(理科)(解析版) 题型:填空题

已知函数f(x),对任意的实数x满足f(x-2)=f(x+2),且当x∈[-1,3)时,,若直线与函数f(x)的图象有3个公共点,则实数k的取值范围为   

查看答案和解析>>

同步练习册答案