相关习题
 0  85361  85369  85375  85379  85385  85387  85391  85397  85399  85405  85411  85415  85417  85421  85427  85429  85435  85439  85441  85445  85447  85451  85453  85455  85456  85457  85459  85460  85461  85463  85465  85469  85471  85475  85477  85481  85487  85489  85495  85499  85501  85505  85511  85517  85519  85525  85529  85531  85537  85541  85547  85555  266669 

科目: 来源:2012-2013学年广东省东莞高级中学高一(上)周考数学试卷(7)(解析版) 题型:解答题

设函数f(x)=lg(ax2+2x+1).
(1)若f(x)的定义域是R,求实数a的取值范围;
(2)若f(x)的值域是R,求实数a的取值范围.

查看答案和解析>>

科目: 来源:2012-2013学年辽宁省朝阳市朝阳县柳城高级中学高三(上)第三次月考数学试卷(理科)(解析版) 题型:选择题

设集合=( )
A.{x|-1≤x<2}
B.{x|x≥2}
C.{y|-1<y<2}
D.{-1}

查看答案和解析>>

科目: 来源:2012-2013学年辽宁省朝阳市朝阳县柳城高级中学高三(上)第三次月考数学试卷(理科)(解析版) 题型:选择题

P是△ABC所在平面上一点,若,则P是△ABC的( )
A.外心
B.内心
C.重心
D.垂心

查看答案和解析>>

科目: 来源:2012-2013学年辽宁省朝阳市朝阳县柳城高级中学高三(上)第三次月考数学试卷(理科)(解析版) 题型:选择题

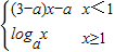
已知函数f(x)=是(-∞,+∞)上的递增函数,则实数a的取值范围是( )
A.(1,+∞)
B.(-∞,3)
C.[,3)
D.(1,3)

查看答案和解析>>

科目: 来源:2012-2013学年辽宁省朝阳市朝阳县柳城高级中学高三(上)第三次月考数学试卷(理科)(解析版) 题型:选择题

设p、q是两上命题,p:ab≠0,q:a≠0,其中a,b∈R,则p是q的( )
A.充分不必要条件
B.必要不充分条件
C.充要条件
D.既不充分也不必要条件

查看答案和解析>>

科目: 来源:2012-2013学年辽宁省朝阳市朝阳县柳城高级中学高三(上)第三次月考数学试卷(理科)(解析版) 题型:选择题

二次函数y=ax2+bx与指数函数的图象只可能是( )
A.
B.
C.
D.

查看答案和解析>>

科目: 来源:2012-2013学年辽宁省朝阳市朝阳县柳城高级中学高三(上)第三次月考数学试卷(理科)(解析版) 题型:选择题

已知命题p:?x∈R,sinx≤1,则( )
A.¬p:?x∈R,sinx≥1
B.¬p:?x∈R,sinx≥1
C.¬p:?x∈R,sinx>1
D.¬p:?x∈R,sinx>1

查看答案和解析>>

科目: 来源:2012-2013学年辽宁省朝阳市朝阳县柳城高级中学高三(上)第三次月考数学试卷(理科)(解析版) 题型:选择题

关于x的方程有解,则m的取值范围是( )
A.
B.
C.
D.[1,+∞)

查看答案和解析>>

科目: 来源:2012-2013学年辽宁省朝阳市朝阳县柳城高级中学高三(上)第三次月考数学试卷(理科)(解析版) 题型:选择题

已知数列{an}为等差数列,若,且它们的前n项和Sn有最大值,则使得Sn>0的n的最大值为( )
A.11
B.19
C.20
D.21

查看答案和解析>>

科目: 来源:2012-2013学年辽宁省朝阳市朝阳县柳城高级中学高三(上)第三次月考数学试卷(理科)(解析版) 题型:选择题

具有性质:f()=-f(x)的函数,我们称为满足“倒负”变换的函数数,下列函数①y=x-②y=x+③y=中满足“倒负”变换的函数是( )
A.①②
B.①③
C.②
D.只有①

查看答案和解析>>

同步练习册答案