相关习题
 0  85362  85370  85376  85380  85386  85388  85392  85398  85400  85406  85412  85416  85418  85422  85428  85430  85436  85440  85442  85446  85448  85452  85454  85456  85457  85458  85460  85461  85462  85464  85466  85470  85472  85476  85478  85482  85488  85490  85496  85500  85502  85506  85512  85518  85520  85526  85530  85532  85538  85542  85548  85556  266669 

科目: 来源:2012-2013学年广东省东莞高级中学高一(上)周考数学试卷(7)(解析版) 题型:选择题

三个数0.76,60.7,log0.76的大小关系为( )
A.0.76<log0.76<60.7
B.0.76<60.7<log0.76
C.log0.76<60.7<0.76
D.log0.76<0.76<60.7

查看答案和解析>>

科目: 来源:2012-2013学年广东省东莞高级中学高一(上)周考数学试卷(7)(解析版) 题型:选择题

[文]已知f(x)=ax,g(x)=logax(a>0,且a≠1),若f(3)•g(3)<0,那么f(x)与g(x)在同一坐标系内的图象可能是( )
A.
B.
C.
D.

查看答案和解析>>

科目: 来源:2012-2013学年广东省东莞高级中学高一(上)周考数学试卷(7)(解析版) 题型:填空题

   

查看答案和解析>>

科目: 来源:2012-2013学年广东省东莞高级中学高一(上)周考数学试卷(7)(解析版) 题型:填空题

=   

查看答案和解析>>

科目: 来源:2012-2013学年广东省东莞高级中学高一(上)周考数学试卷(7)(解析版) 题型:填空题

若函数是奇函数,则a=   

查看答案和解析>>

科目: 来源:2012-2013学年广东省东莞高级中学高一(上)周考数学试卷(7)(解析版) 题型:填空题

已知0<a<1,0<b<1,如果<1,那么x的取值范围为   

查看答案和解析>>

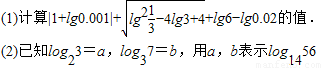
科目: 来源:2012-2013学年广东省东莞高级中学高一(上)周考数学试卷(7)(解析版) 题型:解答题


查看答案和解析>>

科目: 来源:2012-2013学年广东省东莞高级中学高一(上)周考数学试卷(7)(解析版) 题型:解答题

设集合P={x|-2≤x≤3},Q={x|2a≤x≤a+3}
(1)P∪Q=P,求实数a的取值范围;
(2)若P∩Q=∅,求实数a的取值范围;
(3)若P∩Q={x|0≤x≤3},求实数a的取值范围.

查看答案和解析>>

科目: 来源:2012-2013学年广东省东莞高级中学高一(上)周考数学试卷(7)(解析版) 题型:解答题


查看答案和解析>>

科目: 来源:2012-2013学年广东省东莞高级中学高一(上)周考数学试卷(7)(解析版) 题型:解答题

已知函数,求函数f(x)的定义域,并讨论它的奇偶性和单调性.

查看答案和解析>>

同步练习册答案