相关习题
 0  85369  85377  85383  85387  85393  85395  85399  85405  85407  85413  85419  85423  85425  85429  85435  85437  85443  85447  85449  85453  85455  85459  85461  85463  85464  85465  85467  85468  85469  85471  85473  85477  85479  85483  85485  85489  85495  85497  85503  85507  85509  85513  85519  85525  85527  85533  85537  85539  85545  85549  85555  85563  266669 

科目: 来源:2012-2013学年辽宁省朝阳市朝阳县柳城高级中学高三(上)第三次月考数学试卷(文科)(解析版) 题型:选择题

设p、q是两上命题,p:ab≠0,q:a≠0,其中a,b∈R,则p是q的( )
A.充分不必要条件
B.必要不充分条件
C.充要条件
D.既不充分也不必要条件

查看答案和解析>>

科目: 来源:2012-2013学年辽宁省朝阳市朝阳县柳城高级中学高三(上)第三次月考数学试卷(文科)(解析版) 题型:选择题

若点A(x,y)在第一象限且在2x+3y=6上移动,则( )
A.最大值为1
B.最小值为1
C.最大值为2
D.没有最大、小值

查看答案和解析>>

科目: 来源:2012-2013学年辽宁省朝阳市朝阳县柳城高级中学高三(上)第三次月考数学试卷(文科)(解析版) 题型:选择题

过点A(4,a)和点B(5,b)的直线与直线y=x+m平行,则|AB|的值为( )
A.6
B.
C.2
D.不能确定

查看答案和解析>>

科目: 来源:2012-2013学年辽宁省朝阳市朝阳县柳城高级中学高三(上)第三次月考数学试卷(文科)(解析版) 题型:选择题

具有性质:f()=-f(x)的函数,我们称为满足“倒负”变换的函数数,下列函数①y=x-②y=x+③y=中满足“倒负”变换的函数是( )
A.①②
B.①③
C.②
D.只有①

查看答案和解析>>

科目: 来源:2012-2013学年辽宁省朝阳市朝阳县柳城高级中学高三(上)第三次月考数学试卷(文科)(解析版) 题型:选择题

设函数f(x)=sin(ωx+)-1(ω>0)的导数f′(x)的最大值为3,则f(x)的图象的一条对称轴的方程是( )
A.x=
B.x=
C.x=
D.x=

查看答案和解析>>

科目: 来源:2012-2013学年辽宁省朝阳市朝阳县柳城高级中学高三(上)第三次月考数学试卷(文科)(解析版) 题型:选择题

已知数列{an}为等差数列,若,且它们的前n项和Sn有最大值,则使得Sn>0的n的最大值为( )
A.11
B.19
C.20
D.21

查看答案和解析>>

科目: 来源:2012-2013学年辽宁省朝阳市朝阳县柳城高级中学高三(上)第三次月考数学试卷(文科)(解析版) 题型:选择题

已知双曲线-=1的离心率为e,拋物线x=2py2的焦点为(e,0),则p的值为( )
A.2
B.1
C.
D.

查看答案和解析>>

科目: 来源:2012-2013学年辽宁省朝阳市朝阳县柳城高级中学高三(上)第三次月考数学试卷(文科)(解析版) 题型:选择题

已知向量夹角的取值范围是( )
A.
B.
C.
D.

查看答案和解析>>

科目: 来源:2012-2013学年辽宁省朝阳市朝阳县柳城高级中学高三(上)第三次月考数学试卷(文科)(解析版) 题型:选择题

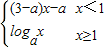
已知函数f(x)=是(-∞,+∞)上的递增函数,则实数a的取值范围是( )
A.(1,+∞)
B.(-∞,3)
C.[,3)
D.(1,3)

查看答案和解析>>

科目: 来源:2012-2013学年辽宁省朝阳市朝阳县柳城高级中学高三(上)第三次月考数学试卷(文科)(解析版) 题型:填空题

已知α,β都是锐角,,则cosβ=   

查看答案和解析>>

同步练习册答案