相关习题
0 85382 85390 85396 85400 85406 85408 85412 85418 85420 85426 85432 85436 85438 85442 85448 85450 85456 85460 85462 85466 85468 85472 85474 85476 85477 85478 85480 85481 85482 85484 85486 85490 85492 85496 85498 85502 85508 85510 85516 85520 85522 85526 85532 85538 85540 85546 85550 85552 85558 85562 85568 85576 266669
科目:
来源:2012-2013学年山西省长治二中高三(上)第一次练考数学试卷(理科)(解析版)
题型:选择题
关于函数函数f(x)=

,以下结论正确的是( )
A.f(x)的最小正周期是π,在区间

是增函数
B.f(x)的最小正周期是2π,最大值是2
C.f(x)的最小正周期是π,最大值是

D.f(x)的最小正周期是π,在区间

是增函数
查看答案和解析>>
科目:
来源:2012-2013学年山西省长治二中高三(上)第一次练考数学试卷(理科)(解析版)
题型:选择题
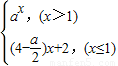
f(x)=

是R上的单调递增函数,则实数a的取值范围为( )
A.(1,+∞)
B.[4,8)
C.(4,8)
D.(1,8)
查看答案和解析>>
科目:
来源:2012-2013学年山西省长治二中高三(上)第一次练考数学试卷(理科)(解析版)
题型:选择题
设函数

对任意x∈R有f(x
1)≤f(x)≤f(x
2)且点A(x
1,f(x
1))与点B(x
2,f(x
2))之间的距离为

,则ω的最小值为( )
A.

B.π
C.2π
D.

查看答案和解析>>
科目:
来源:2012-2013学年山西省长治二中高三(上)第一次练考数学试卷(理科)(解析版)
题型:选择题
为得到函数

的图象,只需要将函数y=cos2x的图象( )
A.向左平移

个单位
B.向右平移

个单位
C.向左平移

个单位
D.向右平移

个单位
查看答案和解析>>
科目:
来源:2012-2013学年山西省长治二中高三(上)第一次练考数学试卷(理科)(解析版)
题型:选择题
已知对数函数f(x)=log
ax是增函数,则函数f(|x|+1)的图象大致是( )
A.

B.

C.

D.

查看答案和解析>>
科目:
来源:2012-2013学年山西省长治二中高三(上)第一次练考数学试卷(理科)(解析版)
题型:选择题
甲船在岛的正南B处,以4km/h的速度向正北航行,AB=10km,同时乙船自岛A出发以6km/h的速度向北偏东60°的方向驶去,当甲、乙两船相距最近时,它们所航行的时间为( )
A.

B.

C.

D.

查看答案和解析>>
科目:
来源:2012-2013学年山西省长治二中高三(上)第一次练考数学试卷(理科)(解析版)
题型:选择题
已知钝角三角形ABC的最长边的长为2,其余两边长为a,b则集合P={(x,y)|x=a,y=b}所表示的平面图形的面积是( )
A.2
B.4
C.π-2
D.4π-2
查看答案和解析>>
科目:
来源:2012-2013学年山西省长治二中高三(上)第一次练考数学试卷(理科)(解析版)
题型:选择题
设f(x)是定义在R上的偶函数,对于任意的x∈R,都有f(x-2)=f(2+x),且当x∈[-2,0]时,f(x)=

-1,若在区间(-2,6]内关于x的方程f(x)-log
ax+2=0恰有3个不同的实数解,则a的取值范围是( )
A.(1,2)
B.(2,+∞)
C.(1,

)
D.(

,2)
查看答案和解析>>
科目:
来源:2012-2013学年山西省长治二中高三(上)第一次练考数学试卷(理科)(解析版)
题型:选择题
已知在锐角△ABC中,角A,B,C,的对边分别为a,b,c,已知c=1且

,则a的取值范围是( )
A.(1,3)
B.(2,3)
C.(

)
D.[2,3]
查看答案和解析>>
科目:
来源:2012-2013学年山西省长治二中高三(上)第一次练考数学试卷(理科)(解析版)
题型:填空题
设集合A={5,log2(a+3)},集合B={a,b}.若A∩B={2},则A∪B= .
查看答案和解析>>