相关习题
 0  85407  85415  85421  85425  85431  85433  85437  85443  85445  85451  85457  85461  85463  85467  85473  85475  85481  85485  85487  85491  85493  85497  85499  85501  85502  85503  85505  85506  85507  85509  85511  85515  85517  85521  85523  85527  85533  85535  85541  85545  85547  85551  85557  85563  85565  85571  85575  85577  85583  85587  85593  85601  266669 

科目: 来源:2012-2013学年宁夏吴忠市青铜峡市高级中学高一(上)期中数学试卷(解析版) 题型:填空题

已知函数f(x)是定义在(-∞,+∞)上的奇函数,当x∈(-∞,0)时,f(x)=x+x4,则,f(2)=   

查看答案和解析>>

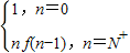
科目: 来源:2012-2013学年宁夏吴忠市青铜峡市高级中学高一(上)期中数学试卷(解析版) 题型:填空题

已知函数f(n)=,则f(3)的值是   

查看答案和解析>>

科目: 来源:2012-2013学年宁夏吴忠市青铜峡市高级中学高一(上)期中数学试卷(解析版) 题型:填空题

已知函数f(x)满足:对任意实数x1<x2,有f(x1)>f(x2),且f(x1-x2)=,写出一个满足条件的函数,则这个函数可以写为f(x)=    .(注:只需写出一个满足条件的函数即可)

查看答案和解析>>

科目: 来源:2012-2013学年宁夏吴忠市青铜峡市高级中学高一(上)期中数学试卷(解析版) 题型:解答题

已知全集U=R,A={x|2x-4≥0},B={x|2≤2x<16},C={0,1,2}.
(1)求C(A∩B);   
(2)如果集合M=(A∪B)∩C,写出M的所有真子集.

查看答案和解析>>

科目: 来源:2012-2013学年宁夏吴忠市青铜峡市高级中学高一(上)期中数学试卷(解析版) 题型:解答题

计算(1)
(2)

查看答案和解析>>

科目: 来源:2012-2013学年宁夏吴忠市青铜峡市高级中学高一(上)期中数学试卷(解析版) 题型:解答题

已知函数f(x)=ax2+bx+1(a,b为实数),x∈R,
(1)若f(x)有一个零点为-1,且函数f(x)的值域为[0,+∞),求f(x)的解析式;
(2)在(1)的条件下,当x∈[-2,2]时,g(x)=f(x)-kx是单调函数,求实数k的取值范围.

查看答案和解析>>

科目: 来源:2012-2013学年宁夏吴忠市青铜峡市高级中学高一(上)期中数学试卷(解析版) 题型:解答题

已知
(1)用单调性定义证明:f(x)在区间(0,+∞)上是增函数.
(2)函数y=f(x)在区间[1,3]上的值域为A,求函数y=4x-2x+1(x∈A)的最大值和最小值.

查看答案和解析>>

科目: 来源:2012-2013学年宁夏吴忠市青铜峡市高级中学高一(上)期中数学试卷(解析版) 题型:解答题

甲、乙两车同时从A地出发,以各自的速度匀速向B地行驶.甲车先到达B地,停留1小时后按原路以另一速度匀速返回,直到两车相遇.乙车的速度为每小时60千米.下图是两车之间的距离y(千米)与乙车行驶时间x(小时)之间的函数图象.
(1)请将图中的______内填上正确的值,并直接写出甲车从A到B的行驶速度;
(2)求从甲车返回到与乙车相遇过程中y与x之间的函数关系式,并写出自变量x的取值范围.
(3)求出甲车返回时行驶速度及A、B两地的距离.

查看答案和解析>>

科目: 来源:2012-2013学年宁夏吴忠市青铜峡市高级中学高一(上)期中数学试卷(解析版) 题型:解答题

已知函数
(1)如果f(x)存在零点,求a的取值范围;
(2)是否存在常数a,使f(x)为奇函数?如果存在,求a的值,如果不存在,说明理由.

查看答案和解析>>

科目: 来源:2012-2013学年山东省济宁市鱼台一中高三(上)期中数学试卷(理科)(解析版) 题型:选择题

i是虚数单位,=( )
A.-i
B.i
C.
D.

查看答案和解析>>

同步练习册答案