相关习题
 0  85429  85437  85443  85447  85453  85455  85459  85465  85467  85473  85479  85483  85485  85489  85495  85497  85503  85507  85509  85513  85515  85519  85521  85523  85524  85525  85527  85528  85529  85531  85533  85537  85539  85543  85545  85549  85555  85557  85563  85567  85569  85573  85579  85585  85587  85593  85597  85599  85605  85609  85615  85623  266669 

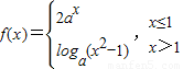
科目: 来源:2012-2013学年江苏省无锡市华士高级中学、成化高级中学高一(上)联考数学试卷(解析版) 题型:填空题

已知,则a=   

查看答案和解析>>

科目: 来源:2012-2013学年江苏省无锡市华士高级中学、成化高级中学高一(上)联考数学试卷(解析版) 题型:填空题

若函数y=a与函数y=|2x-1|的图象有两个公共点,则a的取值范围是   

查看答案和解析>>

科目: 来源:2012-2013学年江苏省无锡市华士高级中学、成化高级中学高一(上)联考数学试卷(解析版) 题型:填空题

已知幂函数f(x)=xm-2(m∈N*)的图象不经过原点,则实数m的值为   

查看答案和解析>>

科目: 来源:2012-2013学年江苏省无锡市华士高级中学、成化高级中学高一(上)联考数学试卷(解析版) 题型:填空题

已知函数f(x)=-x2+ax+a有两个不同的零点x1,x2,且x1<1,x2>1,则实数a的取值范围为   

查看答案和解析>>

科目: 来源:2012-2013学年江苏省无锡市华士高级中学、成化高级中学高一(上)联考数学试卷(解析版) 题型:填空题

已知函数y=f(x)在定义域R上是单调减函数,且对任意x∈R,f(a+x)>f(x2)恒成立,则实数a的取值范围是   

查看答案和解析>>

科目: 来源:2012-2013学年江苏省无锡市华士高级中学、成化高级中学高一(上)联考数学试卷(解析版) 题型:填空题

设a>0,a≠1,函数,且,则f(f(2))=   

查看答案和解析>>

科目: 来源:2012-2013学年江苏省无锡市华士高级中学、成化高级中学高一(上)联考数学试卷(解析版) 题型:填空题

函数的单调递增区间为   

查看答案和解析>>

科目: 来源:2012-2013学年江苏省无锡市华士高级中学、成化高级中学高一(上)联考数学试卷(解析版) 题型:填空题

(实)若函数在区间(0,1]上是减函数,则实数a的取值范围是   

查看答案和解析>>

科目: 来源:2012-2013学年江苏省无锡市华士高级中学、成化高级中学高一(上)联考数学试卷(解析版) 题型:解答题

(1)求值:
(2)求值:

查看答案和解析>>

科目: 来源:2012-2013学年江苏省无锡市华士高级中学、成化高级中学高一(上)联考数学试卷(解析版) 题型:解答题

已知函数y=lg(-x2+x+2)的定义域为A,指数函数y=ax(a>0且a≠1)(x∈A)的值域为B.
(1)若a=2,求A∪B;
(2)若A∩B=(,2),求a的值.

查看答案和解析>>

同步练习册答案