相关习题
 0  85459  85467  85473  85477  85483  85485  85489  85495  85497  85503  85509  85513  85515  85519  85525  85527  85533  85537  85539  85543  85545  85549  85551  85553  85554  85555  85557  85558  85559  85561  85563  85567  85569  85573  85575  85579  85585  85587  85593  85597  85599  85603  85609  85615  85617  85623  85627  85629  85635  85639  85645  85653  266669 

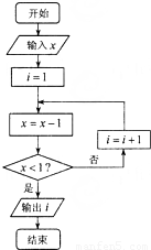
科目: 来源:2012-2013学年湖北省黄石市有色一中高二(上)期中数学试卷(文科)(解析版) 题型:填空题

如果执行如图所示的程序框图,输入x=4.5,则输出的数i=   

查看答案和解析>>

科目: 来源:2012-2013学年湖北省黄石市有色一中高二(上)期中数学试卷(文科)(解析版) 题型:填空题

过原点O作圆x2+y2-6x-8y+20=0的两条切线,设切点分别为P、Q,则线段PQ的长为   

查看答案和解析>>

科目: 来源:2012-2013学年湖北省黄石市有色一中高二(上)期中数学试卷(文科)(解析版) 题型:填空题

已知双曲线和椭圆有相同的焦点,且双曲线的离心率是椭圆离心率的两倍,则双曲线的方程为   

查看答案和解析>>

科目: 来源:2012-2013学年湖北省黄石市有色一中高二(上)期中数学试卷(文科)(解析版) 题型:填空题

已知某几何体的三视图如图所示,则该几何体的体积为   

查看答案和解析>>

科目: 来源:2012-2013学年湖北省黄石市有色一中高二(上)期中数学试卷(文科)(解析版) 题型:填空题

等比数列{an}的前n项和为Sn,公比不为1.若a1=1,且对任意的n∈N+都有an+2+an+1-2an=0,则S5=   

查看答案和解析>>

科目: 来源:2012-2013学年湖北省黄石市有色一中高二(上)期中数学试卷(文科)(解析版) 题型:填空题

商家通常依据“乐观系数准则”确定商品销售价格,及根据商品的最低销售限价a,最高销售限价b(b>a)以及常数x(0<x<1)确定实际销售价格c=a+x(b-a),这里,x被称为乐观系数.
经验表明,最佳乐观系数x恰好使得(c-a)是(b-c)和(b-a)的等比中项,据此可得,最佳乐观系数x的值等于   

查看答案和解析>>

科目: 来源:2012-2013学年湖北省黄石市有色一中高二(上)期中数学试卷(文科)(解析版) 题型:解答题

已知函数f(x)=sin2x-2sin2x
(I)求函数f(x)的最小正周期.
(II)求函数f(x)的最大值及f(x)取最大值时x的集合.

查看答案和解析>>

科目: 来源:2012-2013学年湖北省黄石市有色一中高二(上)期中数学试卷(文科)(解析版) 题型:解答题

如图,四边形ABCD为正方形,QA⊥平面ABCD,PD∥QA,OA=AB=PD.
(Ⅰ)证明PQ⊥平面DCQ;
(Ⅱ)求棱锥Q-ABCD的体积与棱锥P-DCQ的体积的比值.

查看答案和解析>>

科目: 来源:2012-2013学年湖北省黄石市有色一中高二(上)期中数学试卷(文科)(解析版) 题型:解答题

为了解学生身高情况,某校以10%的比例对全校700名学生按性别进行出样检查,测得身高情况的统计图如下:


(Ⅰ)估计该校男生的人数;
(Ⅱ)估计该校学生身高在170~185cm之间的概率;
(Ⅲ)从样本中身高在180~190cm之间的男生中任选2人,求至少有1人身高在185~190cm之间的概率.

查看答案和解析>>

科目: 来源:2012-2013学年湖北省黄石市有色一中高二(上)期中数学试卷(文科)(解析版) 题型:解答题

已知公差不为0的等差数列{an}的首项a1(a1∈R),且成等比数列.
(Ⅰ)求数列{an}的通项公式;
(Ⅱ)对n∈N*,试比较的大小.

查看答案和解析>>

同步练习册答案