相关习题
 0  89487  89495  89501  89505  89511  89513  89517  89523  89525  89531  89537  89541  89543  89547  89553  89555  89561  89565  89567  89571  89573  89577  89579  89581  89582  89583  89585  89586  89587  89589  89591  89595  89597  89601  89603  89607  89613  89615  89621  89625  89627  89631  89637  89643  89645  89651  89655  89657  89663  89667  89673  89681  266669 

科目: 来源:2011-2012学年湖南师大附中高一(上)期中数学试卷(解析版) 题型:解答题

某城市现有人口总数为100万人,如果年自然增长率为1.2%,试解答下列问题:
(1)写出该城市人口数y(万人)与年份x(年)的函数关系式;
(2)用伪代码表示计算10年以后该城市人口总数的算法;
(3)用流程图表示计算大约多少年以后该城市人口将达到120万人的算法.

查看答案和解析>>

科目: 来源:2011-2012学年湖南师大附中高一(上)期中数学试卷(解析版) 题型:解答题

已知函数f(x)=ax2-2x+3,x∈(0,3].
(1)当a=1时,求函数f(x)的值域;
(2)如果函数f(x)在定义域内有零点,求实数a的取值范围.

查看答案和解析>>

科目: 来源:2011-2012学年湖南师大附中高一(上)期中数学试卷(解析版) 题型:解答题

已知集合A={x,xy,lg(xy)},B={0,|x|,y},若A=B,求x,y的值.

查看答案和解析>>

科目: 来源:2011-2012学年湖南师大附中高一(上)期中数学试卷(解析版) 题型:解答题

已知二次函数f(x)=ax2+bx+c和一次函数g(x)=-bx,其中a,b,c∈R且满足a>b>c,f(1)=0.
(1)证明:函数f(x)与g(x)的图象交于不同的两点A,B;
(2)若函数F(x)=f(x)-g(x)在[2,3]上的最小值为9,最大值为21,试求a,b的值;
(3)求线段AB在x轴上的射影A1B1的长的取值范围.

查看答案和解析>>

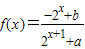
科目: 来源:2011-2012学年湖南师大附中高一(上)期中数学试卷(解析版) 题型:解答题

已知定义域为R的函数是奇函数.
(Ⅰ)求a,b的值;
(Ⅱ)若对任意的t∈R,不等式f(t2-2t)+f(2t2-k)<0恒成立,求k的取值范围.

查看答案和解析>>

科目: 来源:2011-2012学年湖南师大附中高一(上)期中数学试卷(解析版) 题型:解答题

已知定义在区间(0,+∞)上的函数f(x)满足,且当x>1时,f(x)<0.
(1)求f(1)的值;
(2)判断f(x)的单调性并予以证明;
(3)若f(3)=-1,解不等式f(log2x)>-2.

查看答案和解析>>

科目: 来源:2010-2011学年广东省广州市七区联考高一(下)期末数学试卷(解析版) 题型:选择题

,则下列角中符合条件的是α=( )
A.
B.
C.
D.

查看答案和解析>>

科目: 来源:2010-2011学年广东省广州市七区联考高一(下)期末数学试卷(解析版) 题型:选择题

不等式-x2+2x+3<0的解集为( )
A.{x|x<-3或x>1}
B.{x|-3<x<1}
C.{x|x<-1或x>3}
D.{x|-1<x<3}

查看答案和解析>>

科目: 来源:2010-2011学年广东省广州市七区联考高一(下)期末数学试卷(解析版) 题型:选择题

历届现代奥运会召开时间表如下:
年份1896年1900年1904年2008年
届数123n
则n的值为( )
A.27
B.28
C.29
D.30

查看答案和解析>>

科目: 来源:2010-2011学年广东省广州市七区联考高一(下)期末数学试卷(解析版) 题型:选择题

不等式x+y-3<0表示的平面区域在直线x+y-3=0的( )
A.左下方
B.左上方
C.右上方
D.右下方

查看答案和解析>>

同步练习册答案