相关习题
 0  89560  89568  89574  89578  89584  89586  89590  89596  89598  89604  89610  89614  89616  89620  89626  89628  89634  89638  89640  89644  89646  89650  89652  89654  89655  89656  89658  89659  89660  89662  89664  89668  89670  89674  89676  89680  89686  89688  89694  89698  89700  89704  89710  89716  89718  89724  89728  89730  89736  89740  89746  89754  266669 

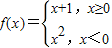
科目: 来源:2011-2012学年山西省大同一中高一(上)期中数学试卷(解析版) 题型:选择题

已知函数,则f[f(-2)]的值为( )
A.1
B.2
C.4
D.5

查看答案和解析>>

科目: 来源:2011-2012学年山西省大同一中高一(上)期中数学试卷(解析版) 题型:选择题

若函数f(x)=x2+2(a-1)x+2在(-∞,4]上是递减的,则a的取值范围是( )
A.a≥-3
B.a≤-3
C.a≤5
D.a≥3

查看答案和解析>>

科目: 来源:2011-2012学年山西省大同一中高一(上)期中数学试卷(解析版) 题型:选择题

函数f(x)=|x|和g(x)=x(2-x)的递增区间依次是( )
A.(-∞,0],(-∞,1]
B.(-∞,0],[1,+∞)
C.[0,+∞),(-∞,1]
D.[0,+∞),[1,+∞)

查看答案和解析>>

科目: 来源:2011-2012学年山西省大同一中高一(上)期中数学试卷(解析版) 题型:选择题

设集合A={x|-5≤x<1},B={x|x≤2},则A∩B=( )
A.{x|-5≤x<1}
B.{x|-5≤x≤2}
C.{x|x<1}
D.{x|x≤2}

查看答案和解析>>

科目: 来源:2011-2012学年山西省大同一中高一(上)期中数学试卷(解析版) 题型:选择题

已知函数,则f(x-1)的图象大致是( )
A.
B.
C.
D.

查看答案和解析>>

科目: 来源:2011-2012学年山西省大同一中高一(上)期中数学试卷(解析版) 题型:选择题

图中的曲线是y=logax的图象,已知a的值为,则相应曲线C1,C2,C3,C4的a依次为( )
A.
B.
C.
D.

查看答案和解析>>

科目: 来源:2011-2012学年山西省大同一中高一(上)期中数学试卷(解析版) 题型:选择题

函数y=的定义域是( )
A.
B.
C.(,+∞)
D.(,+∞)

查看答案和解析>>

科目: 来源:2011-2012学年山西省大同一中高一(上)期中数学试卷(解析版) 题型:选择题

函数y=lg(1-x)+lg(1+x)的图象关于( )
A.直线x=0
B.直线y=0对称
C.点(0,0)对称
D.点(1,1)对称

查看答案和解析>>

科目: 来源:2011-2012学年山西省大同一中高一(上)期中数学试卷(解析版) 题型:选择题

若P=log23•log34,Q=lg2+lg5,M=e,N=ln1,则正确的是( )
A.P=Q
B.Q=M
C.M=N
D.N=P

查看答案和解析>>

科目: 来源:2011-2012学年山西省大同一中高一(上)期中数学试卷(解析版) 题型:填空题

化简的值为   

查看答案和解析>>

同步练习册答案