相关习题
 0  90262  90270  90276  90280  90286  90288  90292  90298  90300  90306  90312  90316  90318  90322  90328  90330  90336  90340  90342  90346  90348  90352  90354  90356  90357  90358  90360  90361  90362  90364  90366  90370  90372  90376  90378  90382  90388  90390  90396  90400  90402  90406  90412  90418  90420  90426  90430  90432  90438  90442  90448  90456  266669 

科目: 来源:2011-2012学年浙江省杭州高级中学高一(上)期中数学试卷(解析版) 题型:填空题

函数的定义域和值域相等,则实数a=   

查看答案和解析>>

科目: 来源:2011-2012学年浙江省杭州高级中学高一(上)期中数学试卷(解析版) 题型:填空题

设函数f(x)(x∈N)表示x除以2的余数,函数g(x)(x∈N)表示x除以3的余数,则对任意的x∈N,给出以下式子:
①f(x)≠g(x);②g(2x)=2g(x);③f(2x)=0;④f(x)+f(x+3)=1.其中正确的式子编号是    .(写出所有符合要求的式子编号)

查看答案和解析>>

科目: 来源:2011-2012学年浙江省杭州高级中学高一(上)期中数学试卷(解析版) 题型:解答题

(1)求|1+lg0.001|++lg6-lg0.02的值;(2)已知,求的值.

查看答案和解析>>

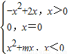
科目: 来源:2011-2012学年浙江省杭州高级中学高一(上)期中数学试卷(解析版) 题型:解答题

已知函数f(x)=是奇函数.
(1)求实数m的值;
(2)若函数f(x)在区间[-1,a-2]上单调递增,求实数a的取值范围.

查看答案和解析>>

科目: 来源:2011-2012学年浙江省杭州高级中学高一(上)期中数学试卷(解析版) 题型:解答题

若集合A={x|x2-2x-8<0},B={x|x-m<0}.
(1)若m=3,全集U=A∪B,试求A∩(CuB);
(2)若A∩B=Φ,求实数m的取值范围;
(3)若A∩B=A,求实数m的取值范围.

查看答案和解析>>

科目: 来源:2011-2012学年浙江省杭州高级中学高一(上)期中数学试卷(解析版) 题型:解答题

已知函数f(x)=b•ax(其中a,b为常量,且a>0,a≠1)的图象经过点A(1,6),B(3,24).
(1)求f(x);
(2)若不等式(x+(x-m≥0在x∈(-∞,1]时恒成立,求实数m的取值范围.

查看答案和解析>>

科目: 来源:2011-2012学年浙江省杭州高级中学高一(上)期中数学试卷(解析版) 题型:解答题

已知函数f(x)=(x,x∈[-1,1],函数g(x)=f2(x)-2af(x)+3的最小值为h(a).
(1)求h(a)的解析式;
(2)是否存在实数m,n同时满足下列两个条件:①m>n>3;②当h(a)的定义域为[n,m]时,值域为[n2,m2]?若存在,求出m,n的值;若不存在,请说明理由.

查看答案和解析>>

科目: 来源:2011-2012学年安徽师大附中高一(上)期中数学试卷(解析版) 题型:选择题

已知全集U={0,2,4,6,8,10},集合A={2,4,6},B={1},则(∁UA)∪B等于( )
A.{0,1,8,10}
B.{1,2,4,6}
C.{0,8,10}
D.∅

查看答案和解析>>

科目: 来源:2011-2012学年安徽师大附中高一(上)期中数学试卷(解析版) 题型:选择题

下列关系中正确的个数为( )
①0∈0;②∅?{0};      ③{0,1}⊆{0,1};④{a,b}={b,a}
A.1
B.2
C.3
D.4

查看答案和解析>>

科目: 来源:2011-2012学年安徽师大附中高一(上)期中数学试卷(解析版) 题型:选择题

映射f:A→B,在f作用下A中元素(x,y)与B中元素(x-1,3-y)对应,则与B中元素(0,1)对应的A中元素是( )
A.(-1,2)
B.(0,3)
C.(1,2)
D.(-1,3)

查看答案和解析>>

同步练习册答案