题目列表(包括答案和解析)

 0  120082  120090  120096  120100  120106  120108  120112  120118  120120  120126  120132  120136  120138  120142  120148  120150  120156  120160  120162  120166  120168  120172  120174  120176  120177  120178  120180  120181  120182  120184  120186  120190  120192  120196  120198  120202  120208  120210  120216  120220  120222  120226  120232  120238  120240  120246  120250  120252  120258  120262  120268  120276  447348 

14、先证明对任何自然数n有

 (n+1)4=n4+4n3+6n2+4n+1, (1)

由此推出

 (n+1)4-n4=4n4+6n2+4n+1。 (2)

然后利用(2)式分别取n为1,2,…,n-1,n得出n个等式。把这些等式左、右两边分别相加,然后利用(2.15)式及关于前n个自然数的和的公式就得出要求的计算公式了。详细过程参见例6。

 另解:此题还有一个特殊的解法。直接计算可得

 13     =12;  13+23   =32

 13+23+33   =62; 13+23+33+43=102

 13+23+33+43+53=152

 … … … …

 注意到数列1,3,6,10,15,…,  (1)

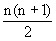
它的规律是:其中第n个数等于1+2+…+n,即可得出

 13+23+…+n3=(1+2+…+n)2=()2。 (2)

在寻找数列(1)中第n个数的规律时,仍然要用到正文中例1给出的方法,即把(1)写成

 

并注意3=1+2,6=1+2+3,10=1+2+3+4,15=1+2+3+4+5等等。

试题详情

13、注意先研究一个及两个三角形的情形。方法与上题类似。

试题详情

12、解法一:先研究3条直径和1条弦最多可把圆分成几个区域,结论是10个,再由数列4,7,10,…的规律求出问题的答案。

 解法二:先考虑一百条直径把圆分成多少个区域(注意每加一条不同的直径,划分的区域多出2个),然后再添上一条弦,看它能增加最多多少个区域。

试题详情

11、假设约分前分子为a,分母为b,那么由题意得到

 a+b=108   (1)

 =  (2)

注意到(2)式就是b+12=2×(a+15),即有b+12-2a-12=2a+2×15-2a-12,这就是

 b-2a=18。  (3)

(1)式表示a与b的和是108,而(3)式表示b比a的2倍还多18,现在求a,b就容易了。

试题详情

10、此题与第7、8两题类同,千万不要直接计算。注意到分子、分母中四个数的共同点,可以设a=9876543210,于是原式变为,用分配律把分母的值算出来即可。

试题详情

9、注意其中最小与最大的两个数的和是61-49=12。由此再利用2+3+4+5+6+7+8+9+10=54比61小推出,最小,最大两数只可能是1和11。最后注意1+2+3+4+5+6+7+8+9+10+11=66。剩下的推理由你自己完成。

试题详情

8、做法与上题同,只不过这次应假设a=+…+,于是原式变为(1+a)×(a+)-(1+a+)×a。

试题详情

7、算式里有4个括号,4个括号中共同有的是+++,就设a=+++,题目中的式子就变成(1+a)×(a+)-(1+a+)×a,利用分配律两次(参考(2.8)式的计算过程)就可以算出它的值。

试题详情

6、根据条件列出以下式子:

 

由①,②两式推出丁=甲+3,代入③式得

 2甲=乙+丙-3  ④

把②式两边都乘以2得

 2甲+2乙+2丙=288  ⑤

用④式代替⑤式中的2甲,就可求出乙+丙的值。再利用③式就可求出四班人数总和。

试题详情

5、这种几个字母轮换出现的式子通常用加法去做,即把3个式子的左边和右边分别相加,这就得到4x+4y+4z=44,由此即可求出x+y+z的值。

试题详情


同步练习册答案