题目列表(包括答案和解析)

 0  120532  120540  120546  120550  120556  120558  120562  120568  120570  120576  120582  120586  120588  120592  120598  120600  120606  120610  120612  120616  120618  120622  120624  120626  120627  120628  120630  120631  120632  120634  120636  120640  120642  120646  120648  120652  120658  120660  120666  120670  120672  120676  120682  120688  120690  120696  120700  120702  120708  120712  120718  120726  447348 

12.化学反应有新物质生成,并遵循质量守恒定律和能量守恒定律

试题详情

28.离体的叶绿体质中添加ATP、NADPH和CO2后,可完成碳反应

(4)培育“试管山羊”的基本过程如下图所示。若要培育成功,下列叙述正确的是

 

A.甲过程中可通过给母山羊注射有关激素使用其超数排卵

B. 乙过程的目的之,是促进卵母细胞和精子的成熟

C. 丙过程与乙过程中应采用相同成分的培养液

D.丁过程中早期胚胎须移植到与供体性状相同的代孕母羊子宫内

(5)在离休实验条件下单条神经纤维的动作电位示意图如下,下列叙述正确的

A.a-b的Na+内流是需要消耗能量的

B.b-c段的Na+外流是不需要消耗能量的

C.c-d段的K+外流是不需要消耗能量的

D.d-c段的K+内流是不需要消耗能量的

(6)与被动免疫相比,下列关于主动免疫的叙述,正确的是

(1)免疫作用在受体(接受者)内维持时间较长

(2)受体接受的是抗体或致敏淋巴细胞

(3)可使受体迅速产生抗原抗体反应

(4)主要用于治疗或紧急预防感染

(7)下表是调查野山羊种群生存羊的原始数据。若把表中数据转换为种群存活曲线图并进行分析,下列叙述错误的是

年龄(年)
0
1
2
3
4
5
6
7
8
9
10
11
12
13
存活数(只)
1000
801
789
776
764
734
688
640
571
439
252
96
6
3
死亡数(只)
199
12
13
12
30
46
48
69
132
187
156
90
3
3

(1)存活曲线图中横坐标采用的数据来源于年龄。纵坐标的来源于存活数

(2)该种群的存活曲线呈凹形(类型Ⅲ)

(3)该种群中大多数个体在平均生理年龄后死亡

(4)分析存活曲线可知该种群对环境有较强的适应能力

(8)将 ada(腺苷酸脱氨酶基因)通过质粒pET28b导入大肠杆菌并成功表达腺苷酸脱氨酶。下列叙述错误的是

A.每个大肠杆菌细胞至少含一个重细胞质粒

B. 每个重组质粒至少含一个限制性核酸内切酶识别位点

C. 每个限制性核酸内切酶识别位点至少插入一个ada

D.每个插入的ada至少表达一个腺苷酸脱氨酶分子

(9)下列说法不正确的是

试题详情

27.与存盘相比,植物在冬季光合速率低的主要原因是光照时间缩短

试题详情

26.植物生长过程中,叶绿体内各种色素的比例保持不变

试题详情

25.破坏叶绿体外膜后,O2不能产生

试题详情

31. (16分)拟南芥是遗传学研究的模式植物,某突变体可用于验证相关的基因的功能。野生型拟南芥的种皮为深褐色(TT),某突变体的种皮为黄色(tt),下图是利用该突变体验证油菜种皮颜色基因(Tn)功能的流程示意图。

(1)与拟南芥t基因的mRNA相比,若油菜Tn基因的mRNA中UGA变为AGA,其末端序列成为“-AGCGCGACCAGAACUCUAA”,则Tn比t多编码   个氨基酸(起始密码子位置相同,UGA、UAA为终止密码子)。

(2)图中①应为   。若②不能在含抗生素Kan的培养基上生长,则原因是      .若③的种皮颜色为     ,则说明油菜基因与拟南芥T基因的功能相同。

(3)假设该油菜基因连接到拟南芥染色体并替换其中一个t基因,则③中进行减数分裂的细胞在联会时的基因为    ;同时,③的叶片卷曲(叶片正常对叶片卷曲为显性,且与种皮性状独立遗传),用它与种皮深褐色、叶片正常的双杂合体拟南芥杂交,其后代中所占比列最小的个体表现型为    ;取③的茎尖培养成16颗植珠,其性状通常        (填“不变”或“改变”)。

(4)所得的转基因拟南芥与野生型拟南芥     (填是或者不是)同一个物种。

试题详情

30.(26分)

Ⅰ.下表是缺碘与不缺碘的两类人群中,血液内与甲状腺活动密切相关的两种激素含量状况。

(1)表中A是       ,B应          。甲状腺激素对垂体分泌激素A起       作用。在甲状腺激素的分泌调节中,控制枢纽是           

(2)长期缺碘,成年人会表现出:① 喜热、畏寒等体温偏低现象;② 少言寡语、反应迟钝及嗜睡等现象。现象①说明甲状腺激素的相关作用是            ;现象② 说明该激素对神经系统的作用是      。通常,食用碘盐可以防治碘缺乏症。

Ⅱ.某兴趣小组将豆腐块灭菌,接种微生物后培养2天,加入适量食盐,经密封放置10天后制得豆腐乳。

(1)    在保质期内,豆腐乳放置时间越长,蛋白质含量越低,短肽和氨基酸含量越高。为研究其原因,该小组取适量豆腐乳之称样液,等量加入各试管,进行了以下实验。

实验中,加入双缩脲试剂A后,样液的颜色将      。处理④中,100℃加热的目的是      。

如果处理③与处理④相比,显色较     ,且处理 ③ 与处理 ② 相比,显色较     ,则表明豆腐乳中蛋白质被微生物产生的     分解。最终使短肽和氨基酸等含量增加,因此保质期内豆腐乳放置越久风味越佳。

(2)食用豆腐乳后,其中的氨基酸可以在人体内通过     作用形成新的氨基酸,还可以由氨基酸产生的不含氨部分合成    

试题详情

29.(14分)臭氧是一种强氧化剂,常用于消毒、灭菌等。

(1)O3与KI溶液反应生成的两种单质是___________和_________.(填分子式)

(2)O3在水中易分解,一定条件下,O3的浓度减少一半所需的时间(t)如题29表所示。已知:O3的起始浓度为0.0216 mol/L。

①pH增大能加速O3分解,表明对O3分解起催化作用的是___________.

②在30°C、pH=4.0条件下,O3的分解速率为__________ mol/(L·min)。

③据表中的递变规律,推测O3在下列条件下分解速率依次增大的顺序为______.(填字母代号) a. 40°C、pH=3.0  b. 10°C、pH=4.0  c. 30°C、pH=7.0

(3)O3  可由臭氧发生器(原理如题29图)电解稀硫酸制得。

①图中阴极为_____(填“A”或“B”),其电极反应式为_____.

②若C处通入O 2  ,则A极的电极反应式为_____.

③若C处不通入O 2 ,D、E处分别收集到L和有L气体(标准情况),则E处收集的气体中O 3  所占的体积分数为_____.(忽略  O 3 的分解)。

   

试题详情

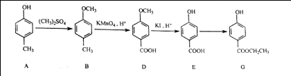
28.(16分)食品添加剂必须严格按照食品安全国家标准(GB2760-2011)的规定使用。作为食品添加剂中的防腐剂G和W,可经下列反应路线得到(部分反应条件略)。

(1)G的制备

①A与苯酚在分在组成上相差一个CH2原子团,他们互称为         ;常温下A在水中的溶解度比苯酚的    (填“大”或“小”).

②经反应AB和DE保护的官能团是       .

③EG的化学方程式为            .

(2)W的制备

①J→L为加成反应,J的结构简式为__________。

②M→Q的反应中,Q分子中形成了新的_________(填“C-C键”或“C-H键” )。

③用Q的同分异构体Z制备,为避免发生,则合理的制备途径为酯化、       、      .(填反应类型)

④应用的原理,由T制备W的反应步骤为

第1步:       ;第2步:消去反应;第3步:          .(第1、3步用化学方程式表示)

试题详情

27.(15分)固态化合物A由两种短周期元素组成,可与水放生复分解反应,甲组同学用题27图装置(夹持装置略)对其进行探究实验。

(1)仪器B的名称是____________。

(2)试验中,Ⅱ中的试纸变蓝,Ⅳ中黑色粉末逐渐变为红色并有M生成,则Ⅲ中的试剂为__________________;Ⅳ发生反应的化学方程式为____________;Ⅴ中的试剂为____________________。

(3)乙组同学进行同样实验,但装置连接顺序为Ⅰ--Ⅱ--Ⅲ--Ⅳ--Ⅴ--Ⅵ,此时Ⅱ 中现象为________,原因是__________________。

(4)经上述反应,2.5g 化合物A理论上可得0.56L(标准状况)M;则A的化学式为________________.

试题详情


同步练习册答案