题目列表(包括答案和解析)

 0  120826  120834  120840  120844  120850  120852  120856  120862  120864  120870  120876  120880  120882  120886  120892  120894  120900  120904  120906  120910  120912  120916  120918  120920  120921  120922  120924  120925  120926  120928  120930  120934  120936  120940  120942  120946  120952  120954  120960  120964  120966  120970  120976  120982  120984  120990  120994  120996  121002  121006  121012  121020  447348 

2.下面列举了若干在用紫色洋葱外表皮进行质壁分离实验时可能会出现的情况,其中不正确的是                           (   )

    A.若质壁分离的时间过长,有可能无法观察到细胞复原的现象

    B.较致密的细胞核清晰可见,细胞核始终位于细胞(三维结构)的中央

    C.若错撕了洋葱内表皮,也能完成实验,但观察时应将视野调整的略暗一些

    D.伴随质壁分离的过程,外表皮细胞的紫色部分由浅渐深

试题详情

1.图1示原来置于黑暗环境条件下的绿色植物改置于连续变化的光照条件下后,根据其吸收的CO2量绘成的曲线,下列叙述正确的是(   )

    A.曲线ab段表示绿色植物没有进行光合作用

    B.曲线bc段表示绿色植物仅进行光合作用

    C.在b点条件下绿色植物有机物积累量为零

    D.整段曲线表示随光照强度的递增,光合作用加强,呼吸作用减弱

试题详情

35.(9分)如图所示为车站使用的水平传送带装置的示意图.绷紧的传送带始终保持3.0m/s的恒定速率运行,传送带的水平部分AB距水平地面的高度为A=0.45m.现有一行李包(可视为质点)由A端被传送到B端,且传送到月端时没有被及时取下,行李包从B端水平抛出,不计空气阻力,g取l0m/s2

 (1)若行李包从B端水平抛出的初速v=3.0m/s,求它在空中运动的时间和飞出的水平距离;

 (2)若行李包以v0=1.0m/s的初速从A端向右滑行,包与传送带间的动摩擦因数μ=0.20,要使它从B端飞出的水平距离等于(1)中所求的水平距离,求传送带的长度L应满足的条件.

试题详情

34.(7分)如图所示,水平面上有两根相距0.5m的足够长的平行金属导轨MN和PQ,它们的电阻可忽略不计,在M和 P之间接有阻值为R的定值电阻,导体棒ab长=0.5m,其电阻为r,与导轨接触良好.整个装置处于方向竖直向上的匀强磁场中,磁感应强度B=0.4T.现使ab以=10m/s的速度向右做匀速运动.

(1)ab中的感应电动势多大?

(2)ab中电流的方向如何?

(3)若定值电阻R=3,OΩ,导体棒的电阻r=1.OΩ,,则电路电流大?

试题详情

33.(4分)把长L=0.15m的导体棒置于磁感应强度B=1.0×10-2T的匀强磁场中,使导体棒和磁场方向垂直,如图所示若导体棒中的电流I=2.0A,方向向左,则导体棒受到的安培力大小F=__________N,安培力的方向为竖直向__________,(选填“上”或“下”)

试题详情

32.(4分)一个单摆做简谐运动,其振动图象如图所示,该单摆的周期T=__________s;在2.0s末,摆球对于平衡位置的位移x=__________cm. 

试题详情

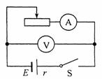
25.如图所示的电路中,电源的电动势和内阻分别为丑和厂,当闭合开关S,向左移动滑动变阻器的滑片时,下列说法正确的是

A.电流表的示数变大,电压表的示数变大

B.电流表的示数变大,电压表的示数变小

C.电流表的示数变小,电压表的示数变小

D.电流表的示数变小,电压表的示数变大

2005年江苏省高考综合考试理科综合试卷

第Ⅱ卷(非选择题  共75分)

试题详情

24.光线以某一入射角从空气射人折射率为的玻璃中,已知折射角为30°,则入射角等于

  A.30°      B.45°    C.60°      D.75°

试题详情

23.下列四个方程中,表示重核裂变的是

  A.      B.

 C.   D.

试题详情

22.光电效应现象证明了光具有

   A.粒子性      B.波动性   C.衍射的特性     D.干涉的特性

试题详情


同步练习册答案