题目列表(包括答案和解析)

 0  82953  82961  82967  82971  82977  82979  82983  82989  82991  82997  83003  83007  83009  83013  83019  83021  83027  83031  83033  83037  83039  83043  83045  83047  83048  83049  83051  83052  83053  83055  83057  83061  83063  83067  83069  83073  83079  83081  83087  83091  83093  83097  83103  83109  83111  83117  83121  83123  83129  83133  83139  83147  447348 

14、一跳水运动员从10米高台上跳水,设他在起跳后第t秒离水面的高度为h米,且h=-5t2+5t+10,

则运动员从起跳到入水所用的时间为       

试题详情

13、设有反比例函数为其图象上的两点,若 时,,则的取值范围是      

试题详情

12、下面是一天中四个不同时刻两个建筑物的影子: 

将它们按时间先后顺序进行排列为       

试题详情

11、方程x(x+3)=x+3的解是       

试题详情

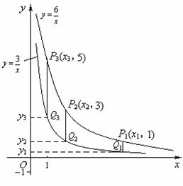
10、两个反比例函数在第一象限内的图象如图所示, 点P1,P2,P3,…,P2 005在反比例函数图象上,它们的横坐标分别是x1,x2,x3,…,x2 005,纵坐标分别是1,3,5,…,共2 005个连续奇数,过点P1, P2,P3,…,P2 005分别作y轴的平行线,与的图象交点依次是Q1(x1,y1),Q2(x2,y2),Q3(x3,y3),…,Q2 005(x2 005,y2 005),则y2 005=   

(10题图)                                 

试题详情

9、小明、小亮、小梅、小花四人共同探讨代数式x2-4x+5的值的情况.他们作了如下分工:小明负责找其值为1时的x的值,小亮负责找其值为0时的x的值,小梅负责找最小值,小花负责找最大值。几分钟后,各自通报探究的结论,其中错误的是(     )

A、小明认为只有当x=2时,x2-4x+5的值为1 

B、小亮认为找不到实数x,使x2-4x+5的值为0

C、小梅发现x2-4x+5的值随x的变化而变化,因此认为没有最小值?

D、小花发现当x取大于2的实数时,x2-4x+5的值随x的增大而增大,因此认为没有最大值

试题详情

8、如图,小亮拿一张矩形纸图(1),沿虚线对折一次得图(2),下将对角两顶点重合折叠得图(3)。按图(4)沿折痕中点与重合顶点的连线剪开,得到三个图形,这三个图形分别是(     )

A、都是等腰梯形              B、都是等边三角形

C、两个直角三角形,一个等腰三角形     D、两个直角三角形,一个等腰梯形

试题详情

6、如图,ABCD的周长为16cm,AC、BD相交于点O,OE⊥AC交AD于E,则△DCE的

周长为(     )

A、4 cm      B、6cm       C、8cm      D、10cm

(6题图)                    7、如图,已知EF是梯形ABCD的中位线,若AB=8,BC=6, CD=2,∠B的

平分线交EF于G,则FG的长是(     )

A、1    B、1.5    C、2    D、2.5

(7题图)                 

试题详情

5、如图,将矩形ABCD分成15个大小相等的正方形,E、F、G、H分别

在AD、AB、BC、CD边上,且是某个小正方形的顶点.若四边形EFGH

的面积为1,则矩形ABCD的面积是(     )

A、2       B、       C、      D、              

(5题图)         

试题详情

4、如图,在直角坐标系中,直线y=6-x与函数y= (x>0)的图象

相交于点A、B,设点A的坐标为(x1,,y1),那么长为x1,宽为y1

的矩形的面积和周长分别为(     )

A、4,12   B、8,12    C、4,6   D、8,6             

(4题图)           

试题详情


同步练习册答案