题目列表(包括答案和解析)

 0  83622  83630  83636  83640  83646  83648  83652  83658  83660  83666  83672  83676  83678  83682  83688  83690  83696  83700  83702  83706  83708  83712  83714  83716  83717  83718  83720  83721  83722  83724  83726  83730  83732  83736  83738  83742  83748  83750  83756  83760  83762  83766  83772  83778  83780  83786  83790  83792  83798  83802  83808  83816  447348 

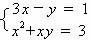
24、解方程组:

试题详情

23、解方程:x―=2

试题详情

22、如图,在⊙O中,P 是AB上点,PA=6,PB=4,PO=5,则cosA=__________。

试题详情

21、如图,AB是⊙O的直径,CD切⊙O于C,若∠BCD=

25°,则∠B=_____________。

试题详情

20、直线y=kx+k2经过点(1,2),且不经过第三象限,那么与它在同一直角坐标系内的双曲线y=经过_________________象限。

试题详情

19、已知函数y=-2x2+x,当x=______时,函数有最大值为_______________。

试题详情

17、已知a、b是方程2x2―6x―1=0的两根,则代数式(ab)a+b=_________。

­­­­­­­­­­­­­­­­­­­­18、如图,弦BA、DC的延长线交于⊙O外一点P,如果要使∠BPO=∠DPO,那么需添加一个条件是__________________________(只填一个即可)。

试题详情

16、计算:tan60°――2-1=_________________。

试题详情

15、以原点为圆心,以为半径的圆与y轴的交点坐标为_____   ____。

试题详情

14、如图,在同心圆中,大圆的弦AB切小圆于C,若弦AB=4,则该圆环面积为(    )

A  4π  B 5π  C 6π  D 7π

试题详情


同步练习册答案