相关习题
 0  77129  77137  77143  77147  77153  77155  77159  77165  77167  77173  77179  77183  77185  77189  77195  77197  77203  77207  77209  77213  77215  77219  77221  77223  77224  77225  77227  77228  77229  77231  77233  77237  77239  77243  77245  77249  77255  77257  77263  77267  77269  77273  77279  77285  77287  77293  77297  77299  77305  77309  77315  77323  199269 

科目: 来源: 题型:039

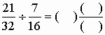
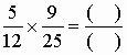
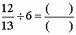
直接写出下面各题的得数.(分数,先填分子,后填分母)(带分数,先填整数部分,再填分子,最后填分母)

(1)

(2)

(3)

(4)

查看答案和解析>>

科目: 来源: 题型:039

直接写出得数.(分数,先填分子,后填分母)

(1)

(2)

(3)

(4)

查看答案和解析>>

科目: 来源: 题型:039

直接写得数.(分数,先填分子,后填分母)(带分数,先填整数部分,再填分数部分)

(1)

(2)

(3)

(4)

(5)

 

查看答案和解析>>

科目: 来源: 题型:039

直接写出得数(分数,先填分子,再填分母)

(1)

(2)

(3)

(4)

查看答案和解析>>

科目: 来源: 题型:039

直接写出得数(分数,先填分子,再填分母)

(1)

(2)

(3)

(4)

查看答案和解析>>

科目: 来源: 题型:039

直接写出得数(分数,先填分子,再填分母)

(1)

(2)

(3)

(4)

查看答案和解析>>

科目: 来源: 题型:039

直接写出得数.

(1)

(2)

(3)

(4)

(5)

(6)

(7)

(8)

(9)

观察上面各式,回答问题:乘积是1的两个因数有什么特点?

查看答案和解析>>

科目: 来源: 题型:039

快速计算.(分数,先填分子,后填分母)

(1)

(2)

(3)

 

查看答案和解析>>

科目: 来源: 题型:039

快速计算.(分数,先填分子,后填分母)

(1)

(2)

(3)

 

查看答案和解析>>

科目: 来源: 题型:039

直接写出得数(填写分数时,先写分子 ,后写分母)

(1)

(2)

(3)

(4)

查看答案和解析>>

同步练习册答案