相关习题
 0  79873  79881  79887  79891  79897  79899  79903  79909  79911  79917  79923  79927  79929  79933  79939  79941  79947  79951  79953  79957  79959  79963  79965  79967  79968  79969  79971  79972  79973  79975  79977  79981  79983  79987  79989  79993  79999  80001  80007  80011  80013  80017  80023  80029  80031  80037  80041  80043  80049  80053  80059  80067  199269 

科目: 来源: 题型:022

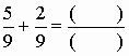
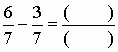
在括号里填上适当的数。(分数先填分子,后填分母)

4

查看答案和解析>>

科目: 来源: 题型:022

在括号里填上适当的数。(分数先填分子,后填分母)

5

查看答案和解析>>

科目: 来源: 题型:022

用分数表示下面图里的涂色部分。(分数先填分子,后填分母)

查看答案和解析>>

科目: 来源: 题型:022

用分数表示下面图里的涂色部分。(分数先填分子,后填分母)

查看答案和解析>>

科目: 来源: 题型:022

1  (2

(分数先填分子,后填分母)

查看答案和解析>>

科目: 来源: 题型:022

1  (2

(分数先填分子,后填分母)

查看答案和解析>>

科目: 来源: 题型:022

1  (2

(分数先填分子,后填分母)

查看答案和解析>>

科目: 来源: 题型:022

用分数表示每个图里的涂色部分。(分数先填分子,后填分母)

查看答案和解析>>

科目: 来源: 题型:022

看图填一填。

白兔的只数占

                  黑兔的只数占  (先填分子,后填分母)

 

                        

查看答案和解析>>

科目: 来源: 题型:022

分一分,填一填。

一堆小棒18根。

1)这堆小棒的是(  )根。

2)这堆小棒的是(  )根。

3)这堆小棒的是(  )根。

4)这堆小棒的是(  )根。

查看答案和解析>>

同步练习册答案