相关习题
 0  81006  81014  81020  81024  81030  81032  81036  81042  81044  81050  81056  81060  81062  81066  81072  81074  81080  81084  81086  81090  81092  81096  81098  81100  81101  81102  81104  81105  81106  81108  81110  81114  81116  81120  81122  81126  81132  81134  81140  81144  81146  81150  81156  81162  81164  81170  81174  81176  81182  81186  81192  81200  199269 

科目: 来源: 题型:039

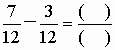
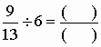
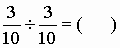
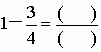
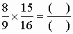
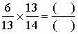
计算(分数,先填分子,再填分母)(带分数,先填整数部分,再填分子,最后填分母)

(1)

(2)

(3)

查看答案和解析>>

科目: 来源: 题型:039

直接写出得数(分数,先填分子,再填分母)

(1)

(2)

(3)

(4)

查看答案和解析>>

科目: 来源: 题型:039

直接写出得数(分数,先填分子,再填分母)

(1)

(2)

(3)

(4)

查看答案和解析>>

科目: 来源: 题型:039

直接写出各题的得数.(分数,先填分子,后填分母)(带分数,先填整数部分,再填分子,最后填分母)

(1)

(2)

(3)

(4)

(5)

 

查看答案和解析>>

科目: 来源: 题型:039

直接写出各题的得数.(分数,先填分子,后填分母)

(1)

(2)

(3)

(4)

查看答案和解析>>

科目: 来源: 题型:039

口算.(分数,先填分子,后填分母;带分数,先填整数部分,后填分数部分)

(1)

(2)

(3)

(4)

查看答案和解析>>

科目: 来源: 题型:039

口算.(分数,先填分子,后填分母)

查看答案和解析>>

科目: 来源: 题型:039

口算.(分数,先填分子,后填分母;带分数,先填整数部分,后填分数部分)

查看答案和解析>>

科目: 来源: 题型:039

计算.(分数,先填分子,后填分母)

(1)

(2)

(3)

(4)

查看答案和解析>>

科目: 来源: 题型:039

口算.(分数,先填分子,后填分母)

查看答案和解析>>

同步练习册答案