相关习题
 0  81008  81016  81022  81026  81032  81034  81038  81044  81046  81052  81058  81062  81064  81068  81074  81076  81082  81086  81088  81092  81094  81098  81100  81102  81103  81104  81106  81107  81108  81110  81112  81116  81118  81122  81124  81128  81134  81136  81142  81146  81148  81152  81158  81164  81166  81172  81176  81178  81184  81188  81194  81202  199269 

科目: 来源: 题型:039

直接写得数(分数先填分子,后填分母;带分数,先填整数部分,再填分子,最后填分母)

(1)

(2)

(3)

(4)6.3÷0.07=(  )

(5)31.95=(  )

 

查看答案和解析>>

科目: 来源: 题型:039

直接写出下面各题的得数.(分数,先填分子,后填分母)(带分数,先填整数部分,再填分子,最后填分母)

(1)

(2)

(3)

(4)

查看答案和解析>>

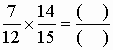
科目: 来源: 题型:039

直接写出下面各题的得数.(分数,先填分子,后填分母)(带分数,先填整数部分,再填分子,最后填分母)

(1)

(2)

(3)

(4)

查看答案和解析>>

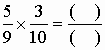
科目: 来源: 题型:039

比一比,谁算得快.(分数,先填分子,后填分母.带分数,先填整数部分,再填分数部分)

(1)

(2)

(3)

(4)

(5)

(6)

查看答案和解析>>

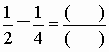
科目: 来源: 题型:039

直接写出得数.(分数,先填分子,后填分母)(带分数,先填整数部分,再填分子,最后填分母)

(1)

(2)

(3)

查看答案和解析>>

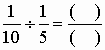
科目: 来源: 题型:039

口算.(分数,先填分子,后填分母)

(1)

(2)

(3)

(4)

查看答案和解析>>

科目: 来源: 题型:039

口算.(分数,先填分子,后填分母)

(1)

(2)

(3)

(4)

查看答案和解析>>

科目: 来源: 题型:039

口算.(分数,先填分子,后填分母)

(1)

(2)

(3)

(4)

查看答案和解析>>

科目: 来源: 题型:039

直接写得数.(分数先填分子,后填分母;带分数,先填整数,再填分子,后填分母)

(1)7.8÷8×4=(  )

(2)

(3)

(4)

查看答案和解析>>

科目: 来源: 题型:039

直接写得数.(分数先填分子,后填分母;带分数,先填整数,再填分子,后填分母)

(1)

(2)1.25×0.16×8=(  )

(3)

(4)2.51.8=(  )

查看答案和解析>>

同步练习册答案