相关习题
 0  81010  81018  81024  81028  81034  81036  81040  81046  81048  81054  81060  81064  81066  81070  81076  81078  81084  81088  81090  81094  81096  81100  81102  81104  81105  81106  81108  81109  81110  81112  81114  81118  81120  81124  81126  81130  81136  81138  81144  81148  81150  81154  81160  81166  81168  81174  81178  81180  81186  81190  81196  81204  199269 

科目: 来源: 题型:039

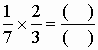
直接写得数.(分数,先填分子,后填分母.带分数,先填整数部分,再填分数部分)

(1)

(2)

(3)

(4)45%÷0.09=(  )

查看答案和解析>>

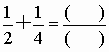
科目: 来源: 题型:039

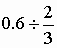
直接写得数.(填写分数时,先填分子,后填分母)

(1)

(2)7.282.84.2=(  )

(3)=

(4)=(  )

查看答案和解析>>

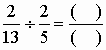
科目: 来源: 题型:039

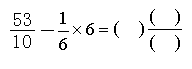
直接写得数.(分数,先填分子,后填分母)(带分数,先填整数部分,再填分数部分)

(1)

(2)

(3)

(4)5.6÷0.08=( )

(5)

查看答案和解析>>

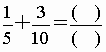
科目: 来源: 题型:039

直接写得数.(分数,先填分子,后填分母)(带分数,先填整数部分,再填分数部分)

(1)

(2)

(3)

(4)

(5)

 

查看答案和解析>>

科目: 来源: 题型:039

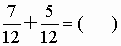
直接写出结果.(分数,先填分子,后填分母)

(1)3÷=(  )

(2)

(3)÷27=

 

查看答案和解析>>

科目: 来源: 题型:039

直接写出结果.(分数,先填分子,后填分母;带分数,先填整数部分,后填分数部分)

(1)14×=(  )

(2)1÷=

(3)

(4)

(5)

(6)×12=(  )

查看答案和解析>>

科目: 来源: 题型:039

直接写出得数.(分数,先填分子,后填分母)

(1)

(2)

(3)

(4)

查看答案和解析>>

科目: 来源: 题型:039

直接写出得数.(分数,先填分子,后填分母)

(1)

(2)

(3)

(4)

查看答案和解析>>

科目: 来源: 题型:039

直接写出得数(分数,先填分子,再填分母)(带分数,先填整数部分,再填分子,最后填分母)

(1)

(2)

(3)

(4)

查看答案和解析>>

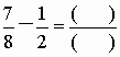
科目: 来源: 题型:039

直接写出得数.(分数,先填分子,后填分母)

(1)

(2)

(3)

(4)

查看答案和解析>>

同步练习册答案