相关习题
 0  81011  81019  81025  81029  81035  81037  81041  81047  81049  81055  81061  81065  81067  81071  81077  81079  81085  81089  81091  81095  81097  81101  81103  81105  81106  81107  81109  81110  81111  81113  81115  81119  81121  81125  81127  81131  81137  81139  81145  81149  81151  81155  81161  81167  81169  81175  81179  81181  81187  81191  81197  81205  199269 

科目: 来源: 题型:071

这些小动物住在哪儿?请在□里涂颜色.

查看答案和解析>>

科目: 来源: 题型:071

读一读,做一做.

(1)举起右手.

(2)抬起左脚.

(3)闭着左眼.

(4)拍拍右肩.

(5)摸摸左耳朵.

(6)用左手摸左耳朵.

(7)用右手摸左耳朵.

(8)用左手拍拍左脚背.

(9)跺左脚两下.

(10)跺右脚三下.

查看答案和解析>>

科目: 来源: 题型:071

我想看马戏

查看答案和解析>>

科目: 来源: 题型:071

1.圣诞树的前面是( ),后面是( )

2.小木屋的前面有( )( )

3.圣诞老人的后面有( )( )

4( )在最前面,( )在最后面。

查看答案和解析>>

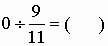
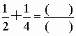
科目: 来源: 题型:039

直接写出得数(分数,先填分子,再填分母)(带分数,先填整数部分,再填分子,最后填分母)

(1)

(2)

(3)

(4)

查看答案和解析>>

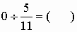
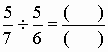
科目: 来源: 题型:039

直接写出得数(分数,先填分子,再填分母)(带分数,先填整数部分,再填分子,最后填分母)

(1)

(2)

(3)

(4)

查看答案和解析>>

科目: 来源: 题型:039

直接写出得数(分数,先填分子,再填分母)(带分数,先填整数部分,再填分子,最后填分母)

(1)

(2)

(3)

(4)

查看答案和解析>>

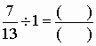
科目: 来源: 题型:039

直接写出得数.(分数,先填分子,后填分母)

查看答案和解析>>

科目: 来源: 题型:039

直接写出得数.(分数,先填分子,后填分母;带分数,先填整数部分,后写分数部分)

查看答案和解析>>

科目: 来源: 题型:039

直接写出得数.(分数,先填分子,后填分母)

查看答案和解析>>

同步练习册答案