相关习题
 0  81150  81158  81164  81168  81174  81176  81180  81186  81188  81194  81200  81204  81206  81210  81216  81218  81224  81228  81230  81234  81236  81240  81242  81244  81245  81246  81248  81249  81250  81252  81254  81258  81260  81264  81266  81270  81276  81278  81284  81288  81290  81294  81300  81306  81308  81314  81318  81320  81326  81330  81336  81344  199269 

科目: 来源: 题型:038

在○里填运算符号,□里填数.

0.3x4.2=7.2

解:0.3x=7.2○□

  0.3x=

     x=

查看答案和解析>>

科目: 来源: 题型:038

在○里填运算符号,□里填数.

9x40=76

解:9x=76○□

  9x=

   x=

查看答案和解析>>

科目: 来源: 题型:038

解方程.

2.1x÷3=1.4

     x=(  )

查看答案和解析>>

科目: 来源: 题型:038

解方程.

8x2.5x=6.6

       x=(  )

查看答案和解析>>

科目: 来源: 题型:038

解方程.(带分数,先填整数部分,再填分子,最后填分母)

查看答案和解析>>

科目: 来源: 题型:038

解方程.

6x24=0.36

     x=(  )

查看答案和解析>>

科目: 来源: 题型:038

解方程.

0.4x1.2=2.8

        x=(  )

查看答案和解析>>

科目: 来源: 题型:038

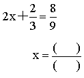
解方程.(分数,先填分子,再填分母)

查看答案和解析>>

科目: 来源: 题型:038

解方程.

查看答案和解析>>

科目: 来源: 题型:038

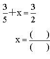
解方程.(分数,先填分子,再填分母)

查看答案和解析>>

同步练习册答案