相关习题
 0  81351  81359  81365  81369  81375  81377  81381  81387  81389  81395  81401  81405  81407  81411  81417  81419  81425  81429  81431  81435  81437  81441  81443  81445  81446  81447  81449  81450  81451  81453  81455  81459  81461  81465  81467  81471  81477  81479  81485  81489  81491  81495  81501  81507  81509  81515  81519  81521  81527  81531  81537  81545  199269 

科目: 来源: 题型:071

,使左、右两边合起来是6个.

查看答案和解析>>

科目: 来源: 题型:071

涂一涂(只用2种颜色),填一填.

查看答案和解析>>

科目: 来源: 题型:071

涂一涂,用▲和△组成5

查看答案和解析>>

科目: 来源: 题型:071

摆一摆、算一算

查看答案和解析>>

科目: 来源: 题型:071

用两种颜色涂按色填数

查看答案和解析>>

科目: 来源: 题型:071

用两种颜色涂按色填数

查看答案和解析>>

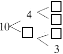
科目: 来源: 题型:071

在□里填上合适的数。

查看答案和解析>>

科目: 来源: 题型:071

(1)一共有(  ).请给中间一个涂上绿色.它的左右两边都分别有(  )

(2)再画上几个,才有10个?请你画一画.

查看答案和解析>>

科目: 来源: 题型:071

分一分,合一合.

查看答案和解析>>

科目: 来源: 题型:071

分一分,合一合.

查看答案和解析>>

同步练习册答案