相关习题
 0  81836  81844  81850  81854  81860  81862  81866  81872  81874  81880  81886  81890  81892  81896  81902  81904  81910  81914  81916  81920  81922  81926  81928  81930  81931  81932  81934  81935  81936  81938  81940  81944  81946  81950  81952  81956  81962  81964  81970  81974  81976  81980  81986  81992  81994  82000  82004  82006  82012  82016  82022  82030  199269 

科目: 来源:数学教研室 题型:022

先估算,再计算.

大约是:(  )

5119=

查看答案和解析>>

科目: 来源:数学教研室 题型:022

先估算,再计算.

大约是:(  )

2969=

查看答案和解析>>

科目: 来源:数学教研室 题型:022

先估算,再计算.

大约是:(  )

3744=

 

查看答案和解析>>

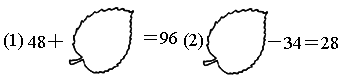
科目: 来源:数学教研室 题型:022

写出叶子上的数.

查看答案和解析>>

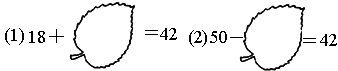
科目: 来源:数学教研室 题型:022

写出叶子上的数.

查看答案和解析>>

科目: 来源:数学教研室 题型:022

写出叶子上的数.

查看答案和解析>>

科目: 来源:数学教研室 题型:022

写出叶子上的数.

查看答案和解析>>

科目: 来源:数学教研室 题型:022

写出叶子上的数.

查看答案和解析>>

科目: 来源:数学教研室 题型:022

巧算.

6328=

查看答案和解析>>

科目: 来源:数学教研室 题型:022

巧算.

6328=

查看答案和解析>>

同步练习册答案