精英家教网 > 初中地理 > 题目详情

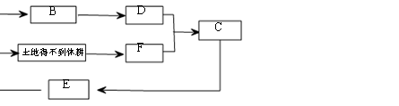
亚洲众多的人口,对资源和环境产生了沉重的压力。请根据你的理解,把下列各项内容,按因果关系填下面的框图中。









A要求增产粮食    B开垦坡地和干旱地带   C粮食产量下降

D水土流失和土地沙漠化严重     E恶性循环       F土壤肥力下降

练习册系列答案
相关习题

科目:初中地理 来源: 题型:

填一填
亚洲众多的人口,对资源和环境产生了沉重的压力.请根据你的理解,把下列各项内容,按因果关系填入下面的框图中.

①要求增产粮食      ②开垦坡地和干旱地带            ③粮食产量下降
④水土流失和土地沙化加重      ⑤恶性循环            ⑥土壤肥力下降.

查看答案和解析>>

科目:初中地理 来源: 题型:阅读理解

阅读材料,把A-F各内容,按因果关系填入下面的框图中
亚洲众多的人口,对资源和环境产生了沉重的压力.人口增长了,要求生产更多的粮食.为了满足人口最基本的粮食需求,亚洲的一些国家,一方面在山坡和干旱地带垦荒种粮,造成水土流失和土地沙化;另一方面,在土地上连续耕种,使土地得不到休耕,土壤肥力逐渐下降.结果,粮食的产量下降.然而为了生存,人们又进一步垦殖,形成恶性循环.
A.要求粮食生产          B.开垦坡地和干旱地带
C.粮食产量下降          D.水土流失和土地沙化严重
E.恶性循环              F.土壤肥力下降.

查看答案和解析>>

科目:初中地理 来源: 题型:阅读理解

(2008?镇江)亚洲众多的人口,对资源和环境产生了沉重的压力.阅读材料,把①~⑥各项内容,按因果关系填入下面的框图中.
人口增长对土地的压力人口增长了,要求生产更多的粮食.为了满足人口最基本的粮食需求,亚洲的一些国家,一方面在山坡和干旱地带垦荒种粮,加重水土流失和土地沙化;另一方面,在土地上连续耕种,使土地得不到休耕,土壤肥力逐渐下降.结果,粮食的产量下降.然而为了生存,人们又进一步垦殖,形成恶性循环.

①要求增产粮食     ②开垦坡地和干旱地带      ③粮食产量下降
④水土流失和土地沙化加重     ⑤恶性循环       ⑥土壤肥力下降.

查看答案和解析>>

科目:初中地理 来源: 题型:

资料分析:亚洲众多的人口,对资源和环境产生了沉重的压力.人口增长了,要求生产更多的粮食.为了满足人口最基本的粮食需求,亚洲的一些国家,一方面在山坡和干旱地带垦荒种粮,造成水土流失和土地沙化;另一方面,在土地上连续耕种,使土地得不到休耕,土壤肥力逐渐下降.结果,粮食的产量下降.然而为了生存,人们又进一步垦殖,形成恶性循环.读亚洲部分地区人口、粮食、环境关系框图,将A-F各项内容按因果关系填入相应的框内.

A.土壤肥力下降    B.要求增产粮食   C.开垦坡地和干旱地带    D.粮食产量下降    E.水土流失和土地沙化加重   F.恶性循环.

查看答案和解析>>

科目:初中地理 来源: 题型:

读“世界大洲和地区人口数量及人口自然增长”图,回答:
精英家教网
(1)下列有关人口的叙述正确的是
 

A.亚洲人口数量大,但人口增长率不是最高的    
B.所有大洲的人口数量都在增长
C. 欧洲、拉丁美洲、大洋洲的人口自然增长率都低于世界平均水平
D.非洲人口自然增长率最高,因而是世界人口最多的大洲
(2)人口总数最多的大洲是
 
洲和人口自然增长率最高的
 
洲.
(3)关于人口增长过快的叙述,不正确的是:
 

A.住房紧张     B.就业困难      C.植被破坏      D.生活水平提高
(4)亚洲众多的人口,对资源和环境产生了沉重的压力.请根据你的理解,把下列各项内容,按因果关系填下面的框图中.
精英家教网
A.要求增产粮食    B.开垦坡地和干旱地带   C.粮食产量下降       
D.水土流失和土地沙漠化严重    E.恶性循环    F.土壤肥力下降.

查看答案和解析>>

同步练习册答案