精英家教网 > 初中数学 > 题目详情
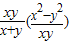
先化简再求值:.其中
【答案】分析:首先把括号里面的式子通分,然后因式分解后进行约分化简,最后把x、y分母有理化后代值计算.
解答:解:==x-y,
==-
=x-y=2
故答案为:2
点评:本题主要考查二次根式的化简求值,通分和约分是解答本题的关键,本题难度一般.
练习册系列答案
相关习题

科目:初中数学 来源:2011-2012学年江苏南京三十九中七年级下学期期末考试数学试卷(带解析) 题型:解答题

先化简再求值:,其中

查看答案和解析>>

科目:初中数学 来源:2012-2013学年江西吉安朝宗实验学校八年级下学期期中考试数学试卷(带解析) 题型:解答题

先化简再求值:,其中x满足

查看答案和解析>>

科目:初中数学 来源:2013年浙江省鄞州八校中考模拟测试数学试卷(解析版) 题型:解答题

先化简再求值:,其中

 

查看答案和解析>>

科目:初中数学 来源:2012-2013学年浙江省宁波地区第二学期九年级模拟测试数学试卷(解析版) 题型:解答题

先化简再求值:,其中

 

查看答案和解析>>

科目:初中数学 来源:2011年初中毕业升学考试(江苏无锡卷)数学 题型:解答题

先化简再求值:

.其中

 

查看答案和解析>>

同步练习册答案