精英家教网 > 初中数学 > 题目详情
如图,某公路隧道横截面为抛物线,其最大高度为6米,底部宽度OM为12米,现以O点为原点,OM所在直线为x轴建立直角坐标系。
(1)直接写出点M及抛物线顶点P的坐标;
(2)求这条抛物线的解析式;
(3)若要搭建一个矩形“支撑架”AD-DC-CB,使C、D 点在抛物线上,A、B点在地面OM上,则这个“支撑 架”总长的最大值是多少?
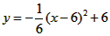
解:(1)M(12,0),P(6,6);
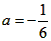
(2)设抛物线的解析式为:y=a(x-6)2+6,
∵抛物线y=a(x-6)2+6经过点(0,0), 
∴0=a(0-6)2+6,
 
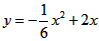
∴抛物线的解析式为:

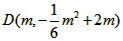
(3)设A(m,0),
则B(12-m,0),C(12 -m,-m2+2m),
∴“支撑架”总长=AD+DC+CB=

∵此二次函数的图象开口向下,
∴当m=3时,AD+DC+CB有最大值15,
即“支撑架”总长的最大值是15米。
练习册系列答案
相关习题

科目:初中数学 来源: 题型:

精英家教网如图,某公路隧道横截面为抛物线,其最大高度为6米,底部宽度OM为12米.现以O点为原点,OM所在直线为x轴建立直角坐标系.
(1)直接写出点M及抛物线顶点P的坐标;
(2)求这条抛物线的解析式;
(3)若要搭建一个矩形“支撑架”AD-DC-CB,使C、D点在抛物线上,A、B点在地面OM上,则这个“支撑架”总长的最大值是多少?

查看答案和解析>>

科目:初中数学 来源: 题型:

如图,某公路隧道横截面为抛物线,其最大高度6米,底部宽度OM为12米,现以O点为原点,OM所在的直线为x轴建立直角坐标系.
(1)求这条抛物线的解析式(不必写x的取值范围);
(2)若要搭建一个矩形支架AD-DC-CB(由三段组成)使C、D在抛物线上,A、B在地面OM上,则这个支架总长L的最大值是多少米?

查看答案和解析>>

科目:初中数学 来源: 题型:

如图,某公路隧道横截面为抛物线,其最大高度为6米,底部宽度OM为12米.现以O点为原点,OM所在直线为x轴建立直角坐标系.
(1)直接写出点M及抛物线顶点P的坐标;
(2)求这条抛物线的解析式.

查看答案和解析>>

科目:初中数学 来源:第20章《二次函数和反比例函数》中考题集(20):20.5 二次函数的一些应用(解析版) 题型:解答题

如图,某公路隧道横截面为抛物线,其最大高度为6米,底部宽度OM为12米.现以O点为原点,OM所在直线为x轴建立直角坐标系.
(1)直接写出点M及抛物线顶点P的坐标;
(2)求这条抛物线的解析式;
(3)若要搭建一个矩形“支撑架”AD-DC-CB,使C、D点在抛物线上,A、B点在地面OM上,则这个“支撑架”总长的最大值是多少?

查看答案和解析>>

科目:初中数学 来源:2012届吉林省初三上学期第二次月考数学试卷 题型:解答题

如图,某公路隧道横截面为抛物线,其最大高度为6米,底部宽度OM为12米. 现以O点为原点,OM所在直线为x轴建立直角坐标系.

1.直接写出点M及抛物线顶点P的坐标;

2.求这条抛物线的解析式;

3.若要搭建一个矩形“支撑架”AD- DC- CB,

使C、D点在抛物线上,A、B点在地面OM上,

 

查看答案和解析>>

同步练习册答案