精英家教网 > 初中数学 > 题目详情
如图,梯形ABCD中,AB∥CD,AC⊥BD于点O,∠CDB=∠CAB,DE⊥AB,CF⊥AB,E,F为垂足,设DC=m,AB=n。
(1)求证:△ACB≌△BDA;
(2)求四边形DEFC的周长。
解:(1)∵AB∥CD,∠CDB=∠CAB,
∴∠CDB=∠CAB=∠ABD=∠DCA,
∴OA=OB,OC=OD,
从而AC=BD,
在△ACB与△BDA中,
∵AB=AB,∠CAB=∠DBA,AC=BD,
∴△ACB≌△BDA;
(2)过点C作CG∥BD,交AB延长线于G,
∵DC∥AG,CG∥BD,
∴四边形DBGC为平行四边形,
∵△ACB≌△BDA,
∴AD=BC,
即梯形ABCD为等腰梯形,
∵AC=BD=CG,
∴AC⊥BD,
即AC⊥CG,
又CF⊥AG,
∴CF=AG,
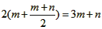
又AG=AB+BG=
∴CF=
又四边形DEFC为矩形,故其周长为
2(DC+CF)=
练习册系列答案
相关习题

科目:初中数学 来源: 题型:

精英家教网已知,如图,梯形ABCD中,AD∥BC,∠B=45°,∠C=120°,AB=8,则CD的长为(  )
A、
8
6
3
B、4
6
C、
8
2
3
D、4
2

查看答案和解析>>

科目:初中数学 来源: 题型:

5、已知:如图,梯形ABCD中,AD∥BC,AB=DC,AC、BD相交于点O,那么,图中全等三角形共有
3
对.

查看答案和解析>>

科目:初中数学 来源: 题型:

10、如图,梯形ABCD中,AD∥BC,BD为对角线,中位线EF交BD于O点,若FO-EO=3,则BC-AD等于(  )

查看答案和解析>>

科目:初中数学 来源: 题型:

精英家教网如图,梯形ABCD中,已知AD∥BC,∠A=90°,AB=7,AD=2,cosC=
2
10

(1)求BC的长;
(2)试在边AB上确定点P的位置,使△PAD∽△PBC.

查看答案和解析>>

科目:初中数学 来源: 题型:

精英家教网如图,梯形ABCD中,AD∥BC,BC=5,AD=3,对角线AC⊥BD,且∠DBC=30°,求梯形ABCD的高.

查看答案和解析>>

同步练习册答案