精英家教网 > 初中数学 > 题目详情
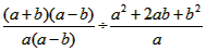
先化简:,当b=-1时,再从-2<a<2的范围内选取一个合适的整数a代入求值。
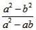
解:原式=
=
=
中,a可取的整数为-1、0、1,而当b=-1时,
①若a=-1,分式无意义;
②若a=0,分式无意义;
③若a=1,分式无意义,
所以a在规定的范围内取整数,原式均无意义(或所求值不存在)。
练习册系列答案
相关习题

科目:初中数学 来源: 题型:

先化简:,当y=-1时,再从-2<x<3的范围内选取一个合适的整数x代入求值.

 

查看答案和解析>>

科目:初中数学 来源:2011-2012学年江苏省崇安区八年级下学期期中考试数学卷(一)(带解析) 题型:解答题

先化简:,当y=-1时,再从-2<x<3的范围内选取一个合适的整数x代入求值.

查看答案和解析>>

科目:初中数学 来源:2012-2013学年江苏淮安涟水县南集中学七年级下学期期末考试数学卷(带解析) 题型:解答题

先化简:,当y=-1时,再从-2<x<3的范围内选取一个合适的整数x代入求值.

查看答案和解析>>

科目:初中数学 来源:2015届江苏淮安涟水县南集中学七年级下学期期末考试数学卷(解析版) 题型:解答题

先化简:,当y=-1时,再从-2<x<3的范围内选取一个合适的整数x代入求值.

 

查看答案和解析>>

科目:初中数学 来源:2013届江苏省崇安区八年级下学期期中考试数学卷(一)(解析版) 题型:解答题

先化简:,当y=-1时,再从-2<x<3的范围内选取一个合适的整数x代入求值.

 

查看答案和解析>>

同步练习册答案