精英家教网 > 初中数学 > 题目详情
已知抛物线y=-x2+bx+c的图象经过点A(m,0)、B(0,n),其中m、n是方程x2-6x+5=0的两个实数根,且m<n。
(1)求抛物线的解析式;
(2)设(1)中的抛物线与x轴的另一个交点为C,抛物线的顶点为D,求C、D点的坐标和△BCD的面积;
(3)P是线段OC上一点,过点P作PH⊥x轴,交抛物线于点H,若直线BC把△PCH分成面积相等的两部分,求P点的坐标。
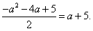
解:(1)解方程,得
由m<n,知m=1,n=5
∴A(1,0),B(0,5)

解得
所求抛物线的解析式为
(2)由
故C的坐标为(-5,0)
由顶点坐标公式,得 D(-2,9)
过D作DE⊥x轴于E,易得E(-2,0)

=15
(3)设P(a,0),则H(a,
直线BC把△PCH分成面积相等的两部分,须且只须BC等分线段PH,
亦即PH的中点()在直线BC上
易得直线BC方程为:

解得:(舍去)
故所求P点坐标为(-1,0)。
练习册系列答案
相关习题

科目:初中数学 来源: 题型:

已知抛物线y=x2-8x+c的顶点在x轴上,则c等于(  )
A、4B、8C、-4D、16

查看答案和解析>>

科目:初中数学 来源: 题型:

已知抛物线y=x2+(1-2a)x+a2(a≠0)与x轴交于两点A(x1,0)、B(x2,0)(x1≠x2).
(1)求a的取值范围,并证明A、B两点都在原点O的左侧;
(2)若抛物线与y轴交于点C,且OA+OB=OC-2,求a的值.

查看答案和解析>>

科目:初中数学 来源: 题型:

如图,已知抛物线y=-x2+bx+c与x轴负半轴交于点A,与y轴正半轴交于点B,且OA=OB.
精英家教网(1)求b+c的值;
(2)若点C在抛物线上,且四边形OABC是平行四边形,试求抛物线的解析式;
(3)在(2)的条件下,作∠OBC的角平分线,与抛物线交于点P,求点P的坐标.

查看答案和解析>>

科目:初中数学 来源: 题型:

(2012•虹口区一模)如图,在平面直角坐标系xOy中,已知抛物线y=x2+bx+c经过A(0,3),B(1,0)两点,顶点为M.
(1)求b、c的值;
(2)将△OAB绕点B顺时针旋转90°后,点A落到点C的位置,该抛物线沿y轴上下平移后经过点C,求平移后所得抛物线的表达式;
(3)设(2)中平移后所得的抛物线与y轴的交点为A1,顶点为M1,若点P在平移后的抛物线上,且满足△PMM1的面积是△PAA1面积的3倍,求点P的坐标.

查看答案和解析>>

科目:初中数学 来源: 题型:

(2012•黔南州)已知抛物线y=x2-x-1与x轴的交点为(m,0),则代数式m2-m+2011的值为(  )

查看答案和解析>>

同步练习册答案