精英家教网 > 初中数学 > 题目详情
如图,已知一次函数y1=kx+b图象与x 轴相交于点A,与反比例函数y2=的图象相交于B(-1,5)、C(,d)两点,点P (m ,n )是一次函数y1=kx+b的图象上的动点。
(1)求k、b的值;
(2)设-1<m<,过点P作x轴的平行线与函数y2=的图象相交于点D,试问△PAD的面积是否存在最大值?若存在,请求出面积的最大值及此时点P的坐标;若不存在,请说明理由;
(3)设m=1-a,如果在两个实数m与n之间(不包括m和n)有且只有一个整数,求实数a的取值范围。

解:(1)将点B 的坐标代入,得 ,解得c=-5。                
∴反比例函数解析式为
将点C(,d)的坐标代入,得
∴C(,-2),
∵一次函数y1=kx+b的图象经过B(-1,5)、C(,-2)两点,                    

解得
(2)存在,
令y1=0,即-2x+3=0,解得
∴A
由题意,点P(m,n)是一次函数y1=-2x+3的图像上的动点,且
∴点P在线段AB上运动(不含A、B)
   
∴DP∥x轴,且点D在的图象上,    
,即D(,n)。    
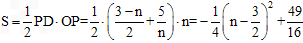
∴△PAD的面积为。    
∴S关于n的二次函数的图象开口向下,有最大值,
又∵n=-2m+3,,得0<n<5,而,    
∴当时,即时,△PAD的面积S最大,为
(3)由已知,P(),      
易知m≠n,即,即a≠0,
若a>0,则m<1<n,
由题设,m>0,n≤2,解出不等式组的解为,      
若a<0,则n<1<m,
由题设,n≥0,m<2,解出不等式组的解为,              
综上所述,数a的取值范围为

练习册系列答案
相关习题

科目:初中数学 来源: 题型:

如图,已知一次函数y1=kx+b的图象与反比例函数y2=
ax
的图象交于A(2,4)和精英家教网B(-4,m)两点.
(1)求这两个函数的解析式;
(2)求△AOB的面积;
(3)根据图象直接写出,当y1>y2时,x的取值范围.

查看答案和解析>>

科目:初中数学 来源: 题型:

如图,已知一次函数y=kx+b的图象与反比例函数y=-
8x
的图象交于A,B点,且点A的横坐标和点B的纵坐标都是-2.求:
(1)求A、B两点坐标;
(2)求一次函数的解析式;
(3)根据图象直接写出使一次函数的值小于反比例函数的值的x的取值范围.
(4)求△AOB的面积.

查看答案和解析>>

科目:初中数学 来源: 题型:

(2013•新疆)如图,已知一次函数y1=kx+b与反比例函数y2=
mx
的图象交于A(2,4)、B(-4,n)两点.
(1)分别求出y1和y2的解析式;
(2)写出y1=y2时,x的值;
(3)写出y1>y2时,x的取值范围.

查看答案和解析>>

科目:初中数学 来源: 题型:

如图,已知一次函数y=k1x+b经过A、B两点,将点A向上平移1个单位后刚好在反比例函数y=
k2x
上.
(1)求出一次函数解析式.
(2)求出反比例函数解析式.

查看答案和解析>>

科目:初中数学 来源: 题型:

如图,已知一次函数y=kx+b的图象交反比例函数y=
4-2m
x
的图象交于点A、B,交x轴于点C.
(1)求m的取值范围;
(2)若点A的坐标是(2,-4),且
BC
AB
=
1
3
,求m的值和一次函数的解析式;
(3)根据图象,写出当反比例函数的值小于一次函数的值时x 的取值范围?

查看答案和解析>>

同步练习册答案