精英家教网 > 初中数学 > 题目详情

袋中装有编号为1,2,3的三个质地均匀、大小相同的球,从中随机取出一球记下编号后,放入袋中搅匀,再从袋中随机取出一球,记下编号.将两次编号作为数字求和.
【小题1】(1)请用树状图或列表的方法表示可能出现的所有结果;
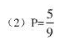
【小题2】(2)求两次所取球的编号之和是偶数的概率.


【小题1】
【小题2】

解析

练习册系列答案
相关习题

科目:初中数学 来源: 题型:

袋中装有编号为1,2,3的三个质地均匀、大小相同的球,从中随机取出一球记下编号后,放入袋中搅匀,再从袋中随机取出一球,两次所取球的编号相同的概率为(  )
A、
1
9
B、
1
6
C、
1
3
D、
1
2

查看答案和解析>>

科目:初中数学 来源: 题型:

(2012•庆阳)在一个不透明的袋中装有编号为0,1,2,3的四个质地均匀、大小相同的小球,从中随机取出一小球,取出编号为1的小球的概率为(  )

查看答案和解析>>

科目:初中数学 来源: 题型:

袋中装有编号为1,2,3的三个形状、大小相同的小球,从袋中随意摸出1个球,并且随意抛掷一个面上标有1,2,3,4,5,6各一个数字的正方体均匀木块.
(1)如果摸出1号球和木块朝上的数字为1,则甲胜;如果摸出2号球和木块朝上的数字为2,则乙胜;这个游戏公平吗?
(2)如果摸出的球编号为奇数和木块朝上的数字为奇数,则甲胜,如果摸出的球编号为偶数和木块朝上的数字为偶数,则乙胜.这个游戏对双方公平吗?说明理由.

查看答案和解析>>

科目:初中数学 来源: 题型:

袋中装有编号为1,2,3的三个质地均匀、大小相同的球,从中随机取出一球记下编号后,放入袋中搅匀,再从袋中随机取出一球,记下编号.将两次编号作为数字求和.
(1)请用树状图或列表的方法表示可能出现的所有结果;
(2)求两次所取球的编号之和是偶数的概率.

查看答案和解析>>

科目:初中数学 来源: 题型:

一不透明袋中装有编号为1,2,3的三个质地均匀、大小相同的球,从中随机取出一球记下编号后,放入袋中搅匀,再从袋中随机取出一球,两次所取球的编号相同的概率为【▲】

A.                B.           C.              D.

 

查看答案和解析>>

同步练习册答案