精英家教网 > 初中数学 > 题目详情
已知圆P的圆心在反比例函数图象上,并与x轴相交于A、B两点,且始终与y轴相切于定点C(0,1)。
(1)求经过A、B、C三点的二次函数图象的解析式;
(2)若二次函数图象的顶点为D,问当k为何值时,四边形ADBP为菱形。


图1                                                   图2

解:(1)连结PC、PA、PB,过P点作PH⊥x轴,垂足为H,
∵⊙P与y轴相切于点C(0,1),
∴PC⊥y轴,
∵P点在反比例函数的图象上,
∴P点坐标为(k,1),
∴PA=PC=k.在Rt△APH中,AH=
∴OA=OH-AH=k-
∴A(k-,0),
∵由⊙P交x轴于A、B两点,且PH⊥AB,由垂径定理可知,PH垂直平分AB,
∴OB=OA+2AH=k-+2=k+
∴B(k+,0),
故过A、B两点的抛物线的对称轴为PH所在的直线解析式为x=k,
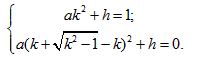
可设该抛物线解析式为y=a+h,
又抛物线过C(0,1),B(k+,0),
得:
解得a=1,h=1-
∴抛物线解析式为y=
(2)由(1)知抛物线顶点D坐标为(k,1-
∴DH=-1,
若四边形ADBP为菱形,则必有PH=DH,
∵PH=1,
-1=1,
又∵k>1,
∴k=
∴当k取时,PD与AB互相垂直平分,则四边形ADBP为菱形。


图1

图2

练习册系列答案
相关习题

科目:初中数学 来源: 题型:

已知圆P的圆心在反比例函数y=
kx
(k>1)图象上,并与x轴相交于A、B两点.且始终与y轴相切于定点C(0,1).
(1)求经过A、B、C三点的二次函数图象的解析式;
(2)若二次函数图象的顶点为D,问当k为何值时,四边形ADBP为菱形.
精英家教网

查看答案和解析>>

科目:初中数学 来源:第2章《二次函数》中考题集(40):2.3 二次函数的应用(解析版) 题型:解答题

已知圆P的圆心在反比例函数y=(k>1)图象上,并与x轴相交于A、B两点.且始终与y轴相切于定点C(0,1).
(1)求经过A、B、C三点的二次函数图象的解析式;
(2)若二次函数图象的顶点为D,问当k为何值时,四边形ADBP为菱形.

查看答案和解析>>

科目:初中数学 来源:第26章《二次函数》中考题集(38):26.3 实际问题与二次函数(解析版) 题型:解答题

已知圆P的圆心在反比例函数y=(k>1)图象上,并与x轴相交于A、B两点.且始终与y轴相切于定点C(0,1).
(1)求经过A、B、C三点的二次函数图象的解析式;
(2)若二次函数图象的顶点为D,问当k为何值时,四边形ADBP为菱形.

查看答案和解析>>

科目:初中数学 来源:第20章《二次函数和反比例函数》中考题集(74):20.7 反比例函数的图象、性质和应用(解析版) 题型:解答题

已知圆P的圆心在反比例函数y=(k>1)图象上,并与x轴相交于A、B两点.且始终与y轴相切于定点C(0,1).
(1)求经过A、B、C三点的二次函数图象的解析式;
(2)若二次函数图象的顶点为D,问当k为何值时,四边形ADBP为菱形.

查看答案和解析>>

科目:初中数学 来源:第23章《二次函数与反比例函数》中考题集(73):23.6 反比例函数(解析版) 题型:解答题

已知圆P的圆心在反比例函数y=(k>1)图象上,并与x轴相交于A、B两点.且始终与y轴相切于定点C(0,1).
(1)求经过A、B、C三点的二次函数图象的解析式;
(2)若二次函数图象的顶点为D,问当k为何值时,四边形ADBP为菱形.

查看答案和解析>>

同步练习册答案