精英家教网 > 初中数学 > 题目详情
如图,在等腰梯形AOBC中,AC∥OB,OA=BC,以O为原点,OB所在直线为x轴建立直角坐标系xoy,已知已知A(2,2),B(8,0)。
(1)直接写出点C的坐标,并求出等腰梯形AOBC的面积;
(2)设D为OB的中点,以D为圆心,OB长为直径作⊙D,试判断点A与⊙D的位置关系;
(3)在第一象限内确定点M,使△MOB与△AOB相似,求出所有符合条件的点M的坐标。
解:(1)C(6,);
过A作AE⊥OB于E,
则由A、B、C的坐标可求得:
AC=4,OB=8,AE=
(2)连结AD,
∵AC∥OB,即 AC∥BD,
又D是圆心,
∴DB=OB=4=AC,
∴ACBD是平行四边形,
∴AD=CB=AO,
在直角三角形AEO中,由勾股定理可求得AO=4,
∴AD=AO=4=OB,
∴点A在⊙D上;
(3)∵点A在⊙D上,OB为直径,
∴∠OAB=90°,
即△OAB是直角三角形,
故符合题意的点M有以下3种情况:
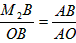
① 当与△BAO相似时(如图),
则有
∴M1B=AO,
∵CB=AO,
∴M1B=CB,
∴点M1与点C重合,
∴此时点的坐标为(6,2);
② 当与△OBA相似时,即过B点作的垂线交OA的延长线于M2(如图),
则有
在直角三角形△OAB中,由勾股定理可求得AB=4
∴M2B=8
∴此时点M2的坐标为(8,8),
③ 当与△BOA相似时,即过B点作OB的垂线交OC的延长线于M3(如图),
则有

∴此时点M3的坐标为(8,)。
练习册系列答案
相关习题

科目:初中数学 来源: 题型:

如图,在等腰梯形OABC中,OC=2,AB=6,∠AOC=120°,以O为圆心OC为半径的⊙O交O精英家教网A于点D,动点P以每秒1个单位的速度从点A沿AO向点O运动,过点P作PE∥AB交BC于点E.设P点运动的时间为t(秒).
(1)求OA的长;
(2)当t为何值时,PE与⊙O相切;
(3)直接写出线段PE与⊙O有两个公共点时t的范围.

查看答案和解析>>

科目:初中数学 来源: 题型:

(2009•上海模拟)已知:如图,在等腰梯形ABCD中,AD∥BC,对角线AC与BD相交于点O,点E、F分别在线段OB、OC上,AO=OF,AE∥DF.
求证:(1)AO=DO;
(2)四边形AEFD是矩形.

查看答案和解析>>

科目:初中数学 来源: 题型:解答题

如图,在等腰梯形OABC中,OC=2,AB=6,∠AOC=120°,以O为圆心OC为半径的⊙O交OA于点D,动点P以每秒1个单位的速度从点A沿AO向点O运动,过点P作PE∥AB交BC于点E.设P点运动的时间为t(秒).
(1)求OA的长;
(2)当t为何值时,PE与⊙O相切;
(3)直接写出线段PE与⊙O有两个公共点时t的范围.

查看答案和解析>>

科目:初中数学 来源: 题型:解答题

已知:如图,在等腰梯形ABCD中,AD∥BC,对角线AC与BD相交于点O,点E、F分别在线段OB、OC上,AO=OF,AE∥DF.
求证:(1)AO=DO;
(2)四边形AEFD是矩形.

查看答案和解析>>

科目:初中数学 来源:2011年江苏省南京市浦口区中考数学二模试卷(解析版) 题型:解答题

如图,在等腰梯形OABC中,OC=2,AB=6,∠AOC=120°,以O为圆心OC为半径的⊙O交OA于点D,动点P以每秒1个单位的速度从点A沿AO向点O运动,过点P作PE∥AB交BC于点E.设P点运动的时间为t(秒).
(1)求OA的长;
(2)当t为何值时,PE与⊙O相切;
(3)直接写出线段PE与⊙O有两个公共点时t的范围.

查看答案和解析>>

同步练习册答案