精英家教网 > 初中数学 > 题目详情
已知一次函数与反比例函数的图象交于点P(-3,m),Q(2,-3)。
(1)求这两个函数的函数关系式;
(2)在给定的直角坐标系(如图)中,画出这两个函数的大致图象;
(3)当x为何值时,一次函数的值大于反比例函数的值?当x为何值时,一次函数的值小于反比例函数的值?

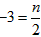
解:(1)设一次函数的关系式为y=kx+b,反比例函数的关系式为
∵反比例函数的图象经过点Q(2,-3),
,n=-6,
∴所求反比例函数的关系式为
将点P(-3,m)的坐标代入上式得m=2,
∴点P的坐标为(-3,2),
由于一次函数y=kx+b的图象过P(-3,2)和Q(2,-3),
 
解得
∴所求一次函数的关系式为y=-x-1;
(2)两个函数的大致图象如图;

(3)由两个函数的图象可以看出,
当x<-3或0<x<2时,一次函数的值大于反比例函数的值,
当-3<x<0或x>2时,一次函数的值小于反比例函数的值。

练习册系列答案
相关习题

科目:初中数学 来源: 题型:

精英家教网已知一次函数与反比例函数的图象交于点P(-3,m),Q(2,-3).
(1)求这两个函数的函数关系式;
(2)在给定的直角坐标系(如图)中,画出这两个函数的大致图象;
(3)当x为何值时,一次函数的值大于反比例函数的值?当x为何值时,一次函数的值小于反比例函数的值?

查看答案和解析>>

科目:初中数学 来源: 题型:

已知一次函数与反比例函数的图象都经过(-2,-1)和(n,2)两点.
(1)求这两个函数的解析式.
(2)画出这两个函数的图象草图.

查看答案和解析>>

科目:初中数学 来源: 题型:

(2012•宁波)如图,已知一次函数与反比例函数的图象交于点A(-4,-2)和B(a,4).
(1)求反比例函数的解析式和点B的坐标;
(2)根据图象回答,当x在什么范围内时,一次函数的值大于反比例函数的值?

查看答案和解析>>

科目:初中数学 来源: 题型:

如图,已知一次函数与反比例函数的图象交于点P(-2,-1)和点Q(1,m)
(1)求这两个函数的解析式;
(2)根据图象,直接写出当一次函数的值大于反比例函数的值时自变量x的取值范围.

查看答案和解析>>

科目:初中数学 来源: 题型:

已知一次函数与反比例函数的图象交于点P(-3,m),Q(2,-3).
(1)求这两个函数的关系式;
(2)在给定的直角坐标系中,画出这两个函数的大致图象.

查看答案和解析>>

同步练习册答案